精英家教网 > 高中数学 > 题目详情

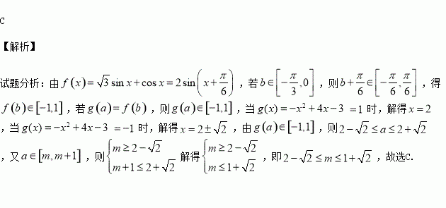
已知函数,对于,若,满足,则的取值范围是( )

A. B.

C. D.

练习册系列答案
相关习题

科目:高中数学 来源:2016届安徽省高三第九次月考文科数学试卷(解析版) 题型:填空题

如图,在中,,点在线段上,且,则________.

查看答案和解析>>

科目:高中数学 来源:2015-2016学年河北武邑中学高二下4.17周考文数学卷(解析版) 题型:解答题

的一个排列,求证:

查看答案和解析>>

科目:高中数学 来源:2015-2016学年河北武邑中学高二下4.17周考理数学卷(解析版) 题型:解答题

选修4-5:不等式选讲

已知函数.

(1)当时,解不等式

(2)当时,恒成立 ,求的取值范围.

查看答案和解析>>

科目:高中数学 来源:2015-2016学年河北武邑中学高二下4.17周考理数学卷(解析版) 题型:填空题

关于的方程有唯一解,则实数的取值范围是

查看答案和解析>>

科目:高中数学 来源:2015-2016学年河北武邑中学高二下4.17周考理数学卷(解析版) 题型:选择题

某几何体三视图如下图所示,则该几何体的体积是( )

A. B. C. D.

查看答案和解析>>

科目:高中数学 来源:2015-2016学年北大附中河南分校高一宏志班下期中数学卷(解析版) 题型:解答题

已知椭圆经过点,且离心率.

(1)求椭圆的方程;

(2)过点能否作出直线,使与椭圆交于两点,且以为直径的圆经过坐标原点?若存在,求出直线的方程;若不存在,说明理由.

查看答案和解析>>

科目:高中数学 来源:2015-2016学年北大附中河南分校高一宏志班下期中数学卷(解析版) 题型:选择题

中,分别是内角的对边,且,则等于( )

A. B. C. D.

查看答案和解析>>

科目:高中数学 来源:2015-2016学年湖南长郡中学高二水平模拟文科数学卷(解析版) 题型:选择题

直线的斜率为,其中点,点在直线上,则( )

A. B. C. D.

查看答案和解析>>

同步练习册答案