精英家教网 > 高中数学 > 题目详情

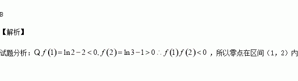
函数的零点所在的大致区间是 ( )

A.(0,1) B.(1,2) C.(2,3) D.(3,4)

练习册系列答案
相关习题

科目:高中数学 来源:2016届河南省原名校高三上学期第一次联考文科数学试卷(解析版) 题型:选择题

函数的图象大致为( )

查看答案和解析>>

科目:高中数学 来源:2015-2016学年陕西省高二上学期期中考试数学试卷(解析版) 题型:填空题

查看答案和解析>>

科目:高中数学 来源:2015-2016学年湖北省枣阳市高二10月月考理科数学试卷(解析版) 题型:填空题

高三(1)班班委会由4名男生和3名女生组成,现从中任选3人参加上海市某社区敬老服务工作,则选出的人中至少有一名女生的概率是_____________.(结果用最简分数表示)

查看答案和解析>>

科目:高中数学 来源:2015-2016学年湖北省高二上学期期中理科数学试卷(解析版) 题型:选择题

下列命题中为真命题的是( )

A.命题“若,则”的逆命题

B.命题“若,则”的否命题

C.命题“若,则

D.命题“若,则”的逆否命题

查看答案和解析>>

科目:高中数学 来源:2015-2016学年河南省英文学校高一上学期期中考试数学试卷(解析版) 题型:选择题

函数)在区间上的最大值是最小值的2倍,则的值是

A. B. C. D.

查看答案和解析>>

科目:高中数学 来源:2015-2016学年广东省英德市高二上学期第一次月考理科数学试卷(解析版) 题型:选择题

二次不等式ax2+bx+1>0的解集为,则ab的值为( )

A.-6 B.6 C.-5 D.5

查看答案和解析>>

科目:高中数学 来源:2014-2015学年上海市高一下学期期末考试数学试卷(解析版) 题型:解答题

(本题满分8分) 本题共有2个小题,第1小题4分,第2小题4分.

已知,且函数图象上的任意两条对称轴之间距离的最小值是

(1)求的值;

(2)将函数的图像向右平移个单位后,得到函数的图像,求函数的解析式,并求上的最值.

查看答案和解析>>

科目:高中数学 来源:2015-2016学年江苏省泰州市姜堰区高一上学期期中考试数学试卷(解析版) 题型:填空题

函数上的最大值为

查看答案和解析>>

同步练习册答案