精英家教网 > 高中数学 > 题目详情

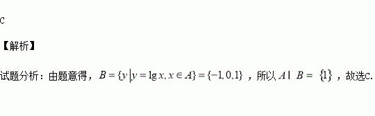
已知集合,则( )

A. B. C. D.

练习册系列答案
相关习题

科目:高中数学 来源:2016届海南省高三高考模拟三理科数学试卷(解析版) 题型:解答题

.

(1)解不等式

(2)若不等式恒成立,求的取值范围.

查看答案和解析>>

科目:高中数学 来源:2016届海南省高三高考模拟三文科数学试卷(解析版) 题型:选择题

如图,网格纸上小正方形的边长为1,粗线画出的是某个几何的三视图,则该几何体的体积为( )

A. B. C. D.

查看答案和解析>>

科目:高中数学 来源:2016届黑龙江省高三下四模理科数学试卷(解析版) 题型:填空题

假设要考察某公司生产的500克袋装牛奶的质量是否达标,现从800袋牛奶中抽取60袋牛奶进行检验,利用随机数表抽样时,先将800袋牛奶按000,001,…,799进行编号,如果从随机数表第8行第7列开始向右读,请你写出抽取检测的第5袋牛奶的编号_________.(下面摘取了随机数表第7行至第9行)

8442 1753 3157 2455 0688 7704 7447 6721 7633 5025 8392 1206 76

6301 6378 5916 9556 6719 9810 5071 7512 8673 5807 4439 5238 79

3321 1234 2978 6456 0782 5242 0744 3815 5100 1342 9966 0279 54

查看答案和解析>>

科目:高中数学 来源:2016届黑龙江省高三下四模理科数学试卷(解析版) 题型:选择题

一个几何体的三视图如图所示,且其侧视图是一个等边三角形,则这个几何体的体积为( )

A. B. C. D.

查看答案和解析>>

科目:高中数学 来源:2015-2016学年重庆八中高一下期中数学试卷(解析版) 题型:解答题

已知.

(Ⅰ)求的值;

(Ⅱ)求的值.

查看答案和解析>>

科目:高中数学 来源:2015-2016学年重庆八中高一下期中数学试卷(解析版) 题型:选择题

中,,.且对于边上任意一点,当且仅当时,取得最小值,则下列结论一定正确的是( )

A. B. C. D.

查看答案和解析>>

科目:高中数学 来源:2016届山东省高三最后一模文科数学试卷(解析版) 题型:解答题

已知函数.

(Ⅰ)求的最小正周期和单调增区间;

(Ⅱ)若的一个零点,求的值.

查看答案和解析>>

科目:高中数学 来源:2015-2016学年江西玉山一中高一下第三次考试文科数学卷(解析版) 题型:解答题

已知的三个内角成等差数列,它们的对边分别为

(1)求

(2)求的面积

查看答案和解析>>

同步练习册答案