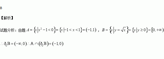
精英家教网 > 高中数学 > 题目详情

已知集合,集合,则=( )

A. B. C. D.

练习册系列答案
相关习题

科目:高中数学 来源:2015-2016学年河北省高二上学期期中数学试卷(解析版) 题型:选择题

是假命题”是“非为真命题”的

A.充分而不必要条件 B.必要而不充分条件

C.充要条件 D.既不充分也不必要条件

查看答案和解析>>

科目:高中数学 来源:2016届吉林省高三上学期二模理科数学试卷(解析版) 题型:选择题

已知正三棱锥ABC,点P,A,B,C都在半径为的球面上,若PA,PB,PC两两互相垂直,则球心到截面ABC的距离为( )

A. B. C. D.

查看答案和解析>>

科目:高中数学 来源:2016届甘肃省高三上学期期中理科数学试卷(解析版) 题型:填空题

设向量a=(-1,2),b=(m,1),如果向量a+2b与2a-b平行,则a·b=

查看答案和解析>>

科目:高中数学 来源:2015-2016学年重庆市高一10月月考数学试卷(解析版) 题型:选择题

设集合,则下述对应法则中,不能构成A到B的映射的是( )

A. B.

C. D.

查看答案和解析>>

科目:高中数学 来源:2015-2016学年江苏启东中学高二上学期期中文科数学试卷(解析版) 题型:填空题

若直线与曲线恰有一个公共点,则的取值范围是

查看答案和解析>>

科目:高中数学 来源:2015-2016学年江苏启东中学高二上学期期中理科数学试卷(解析版) 题型:填空题

命题“”的否定是

查看答案和解析>>

科目:高中数学 来源:2015-2016学年广东东华高中高一上学期前段段考数学试卷(解析版) 题型:解答题

(本小题满分14分)已知函数的图像经过点,并且是偶函数.

(1)求实数的值;

(2)用定义证明:函数在区间上是增函数.

查看答案和解析>>

科目:高中数学 来源:2015-2016学年湖北省黄石市高一10月月考数学试卷(解析版) 题型:选择题

已知集合A={1,3,},B={1,m},A∪B=A,则m=( )

A.0或 B.0或3 C.1或 D.1或3

查看答案和解析>>

同步练习册答案