精英家教网 > 高中数学 > 题目详情

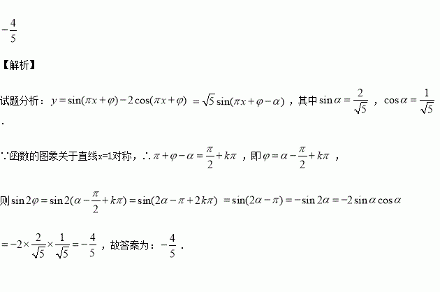
已知函数)的图象关于直线x=1对称,则

练习册系列答案
相关习题

科目:高中数学 来源:2015-2016学年甘肃省张掖市高二上学期10月月考理科数学试卷(解析版) 题型:选择题

已知等差数列的前n项和为,且( )

A.18 B.36 C.54 D.72

查看答案和解析>>

科目:高中数学 来源:2016届江苏省高三第一阶段月考数学试卷(解析版) 题型:解答题

求下列函数的值域.

(1)求函数的值域.

(2) 求函数的值域.

(3)求函数的值域.

查看答案和解析>>

科目:高中数学 来源:2016届安徽省高三第一次联考理科数学试卷(解析版) 题型:填空题

中,若,则的面积取最大值的边长等于

查看答案和解析>>

科目:高中数学 来源:2014-2015学年东北三省等三校高三第一次模拟文科数学试卷(解析版) 题型:选择题

执行如图所示的程序框图,要使输出的S的值小于1,则输入的t值不能是下面的( )

A.8 B.9 C.10 D.11

查看答案和解析>>

科目:高中数学 来源:2014-2015学年西藏拉萨中学高二下学期期末理科数学试卷(解析版) 题型:填空题

已知随机变量ξ服从正态分布N(0,σ2),若,则

查看答案和解析>>

科目:高中数学 来源:2014-2015学年山东省潍坊市诸城市四县高二下学期期末理科数学试卷(解析版) 题型:选择题

从1,2,3,4,5中任取2个不同的数,事件A=“取到的2个数之和为偶数”,事件B=“取到的2个数均为偶数”,则( )

A. B. C. D.

查看答案和解析>>

科目:高中数学 来源:2014-2015学年吉林省高二下学期期末理科数学试卷(解析版) 题型:选择题

同时抛掷一颗红骰子和一颗蓝骰子,观察向上的点数,记“红骰子向上的点数是3的倍数”为事件A,“两颗骰子的点数和大于8”为事件B,则P(B|A)=( )

A. B. C. D.

查看答案和解析>>

科目:高中数学 来源:2016届山东省高三上学期开学考试理科数学试卷(解析版) 题型:选择题

复数等于

A. B. C. D.

查看答案和解析>>

同步练习册答案