精英家教网 > 高中数学 > 题目详情
设二次方程,n∈N+有两根α和β,且满足6α-2αβ+6β=3,a1=1
(1)试用an表示an+1
(2)证明是等比数列;
(3)设,n∈N+,Tn为{cn}的前n项和,证明Tn<2,(n∈N*).
【答案】分析:(1)由题设知6α-2αβ+6β=3,故即6•-2=3,由此能用an表示an+1
(2)由,n∈N+.知an+1-=+=,由此能够证明是等比数列.
(3)由是以为首项,以为公比的等比数列,知=,推出cn,由此利用错位相减法能够证明Tn<2.
解答:解:(1)∵二次方程,n∈N+有两根α和β,
且满足6α-2αβ+6β=3,a1=1,
∴6α-2αβ+6β=3,
即6•-2=3,
,n∈N+
(2)∵,n∈N+
∴an+1-=+=
=
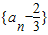
是以为首项,以为公比的等比数列.
(3)∵是以为首项,以为公比的等比数列,
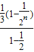
=,cn=n•
+…+(n-1)•],
+…+(n-1)•+n•
两式相减,得
=-n•(n
Tn=--n•
整理,得Tn<2.
点评:本题考查数列的性质的综合运用,考查不等式的证明,综合性强,难度大,对数学思想的要求较高,解题时要认真审题,仔细解答,注意合理地进行等价转化.
练习册系列答案
相关习题

科目:高中数学 来源: 题型:解答题

设二次方程数学公式,n∈N+有两根α和β,且满足6α-2αβ+6β=3,a1=1
(1)试用an表示an+1;      
(2)证明数学公式是等比数列;
(3)设数学公式,n∈N+,Tn为{cn}的前n项和,证明:数学公式(n∈N+).

查看答案和解析>>

科目:高中数学 来源:2012-2013学年浙江省宁波市余姚三中高三(上)第一次月考数学试卷(文科)(解析版) 题型:解答题

设二次方程,n∈N+有两根α和β,且满足6α-2αβ+6β=3,a1=1
(1)试用an表示an+1
(2)证明是等比数列;
(3)设,n∈N+,Tn为{cn}的前n项和,证明Tn<2,(n∈N*).

查看答案和解析>>

科目:高中数学 来源:2012-2013学年湖南省长沙市望城一中、长沙县实验中学高三(上)联考数学试卷(文科)(解析版) 题型:解答题

设二次方程,n∈N+有两根α和β,且满足6α-2αβ+6β=3,a1=1.
(1)证明:是等比数列,并求{an}的通项公式;
(2)设,n∈N+,Tn为{cn}的前n项和,证明:Tn<2,(n∈N+).

查看答案和解析>>

科目:高中数学 来源:2012-2013学年浙江省宁波四中高三(上)期中数学试卷(文科)(解析版) 题型:解答题

设二次方程,n∈N+有两根α和β,且满足6α-2αβ+6β=3,a1=1
(1)试用an表示an+1;            
(2)证明是等比数列;
(3)设,n∈N+,Tn为{cn}的前n项和,证明:(n∈N+).

查看答案和解析>>

同步练习册答案