精英家教网 > 高中数学 > 题目详情
二次函数f(x)=ax2+bx(a≠0)满足条件:①对任意x∈R,均有f(x-4)=f(2-x);②函数f(x)的图象与直线y=x相切.
(I)求f(x)的解析式;
(II)当且仅当x∈[4,m](m>4)时,f(x-t)≤x恒成立,试求t、m的值.
【答案】分析:(I)x满足f(x-4)=f(2-x)因此代入求解的到a与b的关系,再利用相切得到另一个关系即可求出a,b.
(II)把“当x∈[4,m](m>4)时,f(x-t)≤x恒成立”这个不等式恒成立问题转化为“不等式f(x-t)≤x的解集为[4,m](m>4)”这个我们比较熟悉的解集问题.根据函数满足的关系式代入得到a与b的关系式,对于不等式恒成立进行转化.
解答:解:(I)∵f(x-4)=f(2-x),∴b=2a
∵函数f(x)的图象与直线y=x相切,
∴方程组有且只有一解;
即ax2+(b-1)x=0有两个相同的实根,
∴△=(b-1)2=0

∴函数f(x)的解析式为.(6分)
(其它做法相应给分)
(II)∵当且仅当x∈[4,m](m>4)时,f(x-t)≤x恒成立,
∴不等式f(x-t)≤x的解集为[4,m](m>4).
的解集为[4,m].
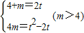
∴方程的两根为4和m,
即方程x2-2tx+t2-2t=0的两根为4和m.

解得t=8,m=12∴t和m的值分别为8和12.(13分)
点评:此题考查学生会利用待定系数法求函数的解析式,掌握二次函数的图象与性质及不等式恒成立时所满足的条件,考查了分类讨论的数学思想,是一道综合题,注意用到函数中等价转化的思想.
练习册系列答案
相关习题

科目:高中数学 来源: 题型:

已知二次函数f(x)=a(x+1)2+4-a,其中a为常数且0<a<3.取x1,x2满足:x1>x2,x1+x2=1-a,则f(x1)与f(x2)的大小关系为(  )

查看答案和解析>>

科目:高中数学 来源: 题型:

已知二次函数f(x)=a(x-m)(x-n)(m<n),若不等式f(x)>0的解集是(m,n)且不等式f(x)+2>0的解集是(α,β),则实数m、n、α、β的大小关系是(  )

查看答案和解析>>

科目:高中数学 来源:2012年人教B版高中数学必修一2.4函数的零点练习卷(一)(解析版) 题型:解答题

已知二次函数f(x)=a+bx(a,b是常数且a0)满足条件:f(2)=0.方程f(x)=x有等根

(1)求f(x)的解析式;

(2)问:是否存在实数m,n使得f(x)定义域和值域分别为[m,n]和

[2m,2n],如存在,求出m,n的值;如不存在,说明理由.

 

查看答案和解析>>

科目:高中数学 来源:不详 题型:单选题

已知二次函数f(x)=a(x+1)2+4-a,其中a为常数且0<a<3.取x1,x2满足:x1>x2,x1+x2=1-a,则f(x1)与f(x2)的大小关系为(  )
A.不确定,与x1,x2的取值有关
B.f(x1)>f(x2
C.f(x1)<f(x2
D.f(x1)=f(x2

查看答案和解析>>

科目:高中数学 来源:2006-2007学年广东省阳江市高二(上)期末数学试卷(理科)(解析版) 题型:选择题

已知二次函数f(x)=a(x-m)(x-n)(m<n),若不等式f(x)>0的解集是(m,n)且不等式f(x)+2>0的解集是(α,β),则实数m、n、α、β的大小关系是( )
A.m<α<β<n
B.α<m<n<β
C.m<α<n<β
D.α<m<β<n

查看答案和解析>>

同步练习册答案