精英家教网 > 高中数学 > 题目详情
过抛物线y=ax2(a>0)的焦点F作一直线交抛物线于P、Q两点,若线段PF与FQ的长分别是p、q,则+等于( )
A.2a
B.
C.4a
D.
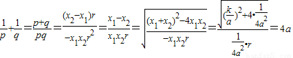
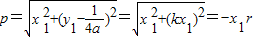
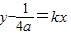
【答案】分析:设PQ直线方程是,则x1,x2是方程的两根,,同理q=x2r.由此可知+的值.
解答:解:如图:
设PQ直线方程是
则x1,x2是方程的两根,

其中.同理q=x2r.
从而
故选C.
点评:本题考查抛物线的性质和就任,解题时要认真审题,仔细解答.
练习册系列答案
相关习题

科目:高中数学 来源: 题型:

过抛物线y=ax2(a>0)的焦点F作一直线交抛物线于P、Q两点,若线段PF与FQ的长分别是p、q,则
1
p
+
1
q
等于(  )
A、2a
B、
1
2a
C、4a
D、
4
a

查看答案和解析>>

科目:高中数学 来源: 题型:

求过抛物线y=ax2+bx+c(a≠0)上一点P(x0,y0)处的切线方程,并由此证实抛物线的光学性质.

查看答案和解析>>

科目:高中数学 来源: 题型:

若直线l过抛物线y=ax2(a>0)的焦点,并且与y轴垂直,若l被抛物线截得的线段长为4,则a=
 

查看答案和解析>>

科目:高中数学 来源: 题型:

已知直线l:y=3x+2过抛物线y=ax2(a>0)的焦点.
(1)求抛物线方程;
(2)设抛物线的一条切线l1,若l1∥l,求切点坐标.

查看答案和解析>>

科目:高中数学 来源: 题型:

过抛物线y=ax2(a>0)的焦点F作一直线交抛物线交于P、Q两点,若线段PF、FQ的长分别为p、q,则
1
p
+
1
q
=
 

查看答案和解析>>

同步练习册答案