精英家教网 > 高中数学 > 题目详情

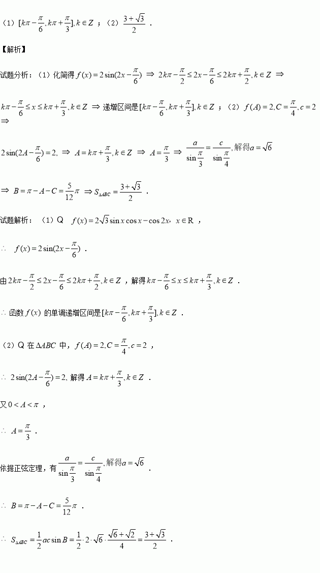
已知函数

(1)求函数的单调递增区间;

(2)在中,内角所对边的长分别是,若,求的面积的值.

练习册系列答案
相关习题

科目:高中数学 来源:2017届湖南常德一中高三上学期月考二数学(文)试卷(解析版) 题型:解答题

(本小题满分12分)已知函数.

(Ⅰ)当时,求函数取得最大值和最小值时的值;

(Ⅱ)设锐角的内角的对应边分别是,且,若向量与向量平行,求的值.

查看答案和解析>>

科目:高中数学 来源:2016届山西右玉一中高三冲刺压轴卷四数学(文)试卷(解析版) 题型:选择题

设复数 ,则( )

A. B. C. D.

查看答案和解析>>

科目:高中数学 来源:2016届山西右玉一中高三冲刺压轴卷四数学(理)试卷(解析版) 题型:选择题

若将函数的图象向右平移个单位,所得图象关于轴对称,则的最小正值是( )

A. B. C. D.

查看答案和解析>>

科目:高中数学 来源:2016届青海西宁五中四中十四中高三下联考数学(文)试卷(解析版) 题型:解答题

选修4—1:几何证明选讲

如图所示,为圆的直径,为圆的切线,为切点.

(1)求证:

(2)若圆的半径为2,求的值.

查看答案和解析>>

科目:高中数学 来源:2016届青海西宁五中四中十四中高三下联考数学(文)试卷(解析版) 题型:选择题

已知函数,若函数在R上有两个零点,则的取值范围是( )

A. B. C. D.

查看答案和解析>>

科目:高中数学 来源:2016届青海西宁五中四中十四中高三下联考数学(文)试卷(解析版) 题型:选择题

,则( )

A. B.

C. D.

查看答案和解析>>

科目:高中数学 来源:2016-2017学年河北冀州市高二上月考二文数学试卷(解析版) 题型:选择题

已知三棱锥的三视图如图所示,则它的体积为( )

A. B. C. D.

查看答案和解析>>

科目:高中数学 来源:2015-2016学年湖南衡阳县四中高一下期期末数学试卷(解析版) 题型:解答题

已知函数(其中),求:

(1)函数的最小正周期;

(2)函数的单调区间;

查看答案和解析>>

同步练习册答案