精英家教网 > 高中数学 > 题目详情

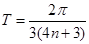
函数f(x)=sin+ACos(>0)的图像关于M(,0)对称,且在处函数有最小值,则的一个可能取值是(   )     

A.0        B.3       C.6       D. 9

 

【答案】

D

【解析】

试题分析:根据题意:相邻对称点与最小值之间可以相差也可以是不妨设为:可以为9,故选D.

考点:三角函数的最值;正弦函数的对称性.

 

练习册系列答案
相关习题

科目:高中数学 来源: 题型:

已知函数f(x)=sin(ωx+
π
4
)(x∈R,ω>0)
的最小正周期为π,为了得到函数g(x)=cosωx的图象,只要将y=f(x)的图象(  )
A、向左平移
π
8
个单位长度
B、向右平移
π
8
个单位长度
C、向左平移
π
4
个单位长度
D、向右平移
π
4
个单位长度

查看答案和解析>>

科目:高中数学 来源: 题型:

已知函数f(x)=sin(ωx+
π
3
)
(ω>0)的最小正周期为π,将函数y=f(x)的图象向右平移m(m>0)个单位长度后,所得到的图象关于原点对称,则m的最小值为(  )

查看答案和解析>>

科目:高中数学 来源: 题型:

函数f(x)=sin(ωx+
π
6
)
的导函数y=f'(x)的部分图象如图所示:图象与y轴交点P(0,
3
3
2
)
,与x轴正半轴的两交点为A、C,B为图象的最低点,则S△ABC=
π
2
π
2

查看答案和解析>>

科目:高中数学 来源: 题型:

(2011•许昌一模)函数f(x)=sin(
π
4
+x)sin(
π
4
-x)
的最小正周期是
π
π

查看答案和解析>>

科目:高中数学 来源: 题型:

(2012•浙江模拟)在△ABC中,内角A、B、C的对边长分别为a、b、c,已知函数f(x)=sin(2x-
π
6
)
满足:对于任意x∈R,f(x)≤f(A))恒成立.
(1)求角A的大小;
(2)若a=
3
,求BC边上的中线AM长的取值范围.

查看答案和解析>>

同步练习册答案