精英家教网 > 高中数学 > 题目详情

已知函数f(x)在(-1,1)上有定义,=-1,当0<x<1时,f(x)<0,对任意x,y∈(-1,1),恒有f(x)+f(y)=

(1)证明f(x)的奇偶性;

(2)证明f(x)在(-1,1)上的单调性;

(3)求1++…+的值.

答案:
解析:

(1)令x=y=0得f(0)+f(0)=f(0)

∴f(0)=0

令y=-x得f(x)+f(-x)=f(0)=0

∴f(-x)=-f(x),即f(x)是奇函数.

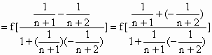
(2)任取-1<<1

∵-1<<1

<0

∴0<<1-

∴0<<1

∵0<x<1时f(x)<0

<0

∴f(x)是(-1,1)上的减函数.

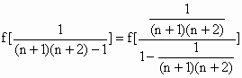
(3)由

=1-1

=0.


练习册系列答案
相关习题

科目:高中数学 来源: 题型:

已知函数f(x)在(-1,1)上有意义,f(
1
2
)=-1
,且对任意的x、y∈(-1,1)都有f(x)+f(y)=f(
x+y
1+xy
)

(1)若数列{xn}满足x1=
1
2
xn+1=
2xn
1+
x
2
n
(n∈N*),求f(xn)

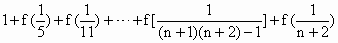
(2)求1+f(
1
5
)+f(
1
11
)…+f(
1
n2+3n+1
)+f(
1
n+2
)
的值.

查看答案和解析>>

科目:高中数学 来源: 题型:

已知函数f(x)在x=x0处可导,且f′(x0)=A,则等于…(    )

A.-             B.-2A                     C.2A               D.A

查看答案和解析>>

科目:高中数学 来源: 题型:

已知函数f(x)=在[1,+∞)上为减函数,则a的取值范围是(    )

A.0<a<                     B.0<a≤e

C.a≤e                            D.a≥e

查看答案和解析>>

科目:高中数学 来源:2010-2011年江苏省高二下学期期中考试理数 题型:填空题

已知函数f(x) 在R上满足f(x)=2f(2-x)-x2+8x-8,则f’(1)=            .

 

 

查看答案和解析>>

科目:高中数学 来源:2010-2011年江苏省高二下学期期中考试理数 题型:填空题

已知函数f(x) 在R上满足f(x)=2f(2-x)-x2+8x-8,则f’(1)=            .

 

 

查看答案和解析>>

同步练习册答案