精英家教网 > 高中数学 > 题目详情

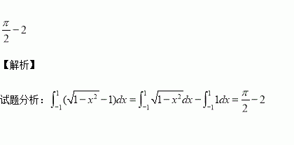
-1)dx= .

练习册系列答案
相关习题

科目:高中数学 来源:2015-2016学年广东省高二下第一次月考文科数学试卷(解析版) 题型:解答题

在直三棱柱中,,且异面直线所成的角等于,设.

(1) 求的值;

(2) 求三棱锥的体积.

查看答案和解析>>

科目:高中数学 来源:2015-2016学年福建省四地六校高二下学期第一次联考文科数学试卷(解析版) 题型:解答题

设函数的图象如图所示,且与在原点相切,若函数的极小值为

(1)求的值;(2)求函数的递减区间.

查看答案和解析>>

科目:高中数学 来源:2015-2016学年福建省四地六校高二下学期第一次联考文科数学试卷(解析版) 题型:选择题

,则=( )

A.3 B.-3 C.-6 D.6

查看答案和解析>>

科目:高中数学 来源:2015-2016学年福建省四地六校高二下学期第一次联考理科数学试卷(解析版) 题型:解答题

如图所示,平面平面,且四边形为矩形,四边形为直角梯形,

(Ⅰ)求证平面

(Ⅱ)求直线与平面所成角的余弦值;

查看答案和解析>>

科目:高中数学 来源:2015-2016学年福建省四地六校高二下学期第一次联考理科数学试卷(解析版) 题型:选择题

如图,长方形的四个顶点为,曲线经过点.现将一质点随机投入长方形中,则质点落在图中阴影区域的概率是( )

A. B. C. D.

查看答案和解析>>

科目:高中数学 来源:2015-2016学年福建省四地六校高二下学期第一次联考理科数学试卷(解析版) 题型:选择题

已知复数满足为虚数单位),则共轭复数等于( )

A. B. C. D.

查看答案和解析>>

科目:高中数学 来源:2015-2016学年福建省高二下期初考试文科数学试卷(解析版) 题型:选择题

已知命题,则;命题,则,在命题①中,真命题是( )

A.①③ B.①④ C.②③ D.②④

查看答案和解析>>

科目:高中数学 来源:2015-2016学年广东省高一下第一次月考数学试卷(解析版) 题型:选择题

外接圆的半径为1,圆心为,且,则等于( )

A. B. C. D.

查看答案和解析>>

同步练习册答案