精英家教网 > 高中数学 > 题目详情

,则=( )

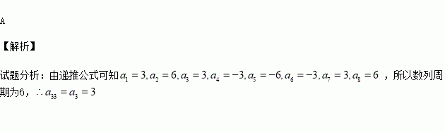
A.3 B.-3 C.-6 D.6

练习册系列答案
相关习题

科目:高中数学 来源:2015-2016学年江西省抚州市高二3月月考理科数学试卷(解析版) 题型:选择题

是定义在同一个区间上的两个函数,若函数上有两个不同的零点,则称上是“关联函数”,区间称为“关联区间”.若上是“关联函数”,则的取值范围是( )

A. B. C. D.

查看答案和解析>>

科目:高中数学 来源:2015-2016学年广东省高二下第一次月考理科数学试卷(解析版) 题型:选择题

若实数满足,则的最小值为( )

A. B.8 C. D.2

查看答案和解析>>

科目:高中数学 来源:2015-2016学年福建省四地六校高二下学期第一次联考文科数学试卷(解析版) 题型:填空题

如图:已知P为抛物线上的动点,过P分别作轴与直线的垂线,垂足分别为A、B,则PAPB的最小值为

查看答案和解析>>

科目:高中数学 来源:2015-2016学年福建省四地六校高二下学期第一次联考文科数学试卷(解析版) 题型:选择题

程序框图输出的含义是( )

A.输出的是原来的,输出的是原来的,输出的是原来的

B.输出的是原来的,输出的是新的,输出的是原来的

C.输出的是原来的,输出的是新的,输出的是原来的

D.输出的均等于

查看答案和解析>>

科目:高中数学 来源:2015-2016学年福建省四地六校高二下学期第一次联考理科数学试卷(解析版) 题型:解答题

如图,四棱柱中,底面是矩形,且,若的中点,且

(Ⅰ)求证:平面

(Ⅱ)线段上是否存在一点,使得二面角的大小为?若存在,求出的长;若不存在,说明理由.

查看答案和解析>>

科目:高中数学 来源:2015-2016学年福建省四地六校高二下学期第一次联考理科数学试卷(解析版) 题型:填空题

-1)dx= .

查看答案和解析>>

科目:高中数学 来源:2015-2016学年福建省高二下期初考试文科数学试卷(解析版) 题型:解答题

已知平面内一动点Q到点F(4,0)的距离与点Q到直线的距离的差等于1.

(1)求动点Q的轨迹C的方程;

(2)设点B(2,5),P(1,3),点Q为轨迹C的一个动点,求的取值范围.

查看答案和解析>>

科目:高中数学 来源:2015-2016学年广东省高一下第一次月考数学试卷(解析版) 题型:解答题

已知数列满足:

数列的前n项和为,且

⑴求数列的通项公式

⑵令数列满足,求其前n项和为

查看答案和解析>>

同步练习册答案