精英家教网 > 高中数学 > 题目详情

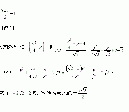
如图:已知P为抛物线上的动点,过P分别作轴与直线的垂线,垂足分别为A、B,则PAPB的最小值为

练习册系列答案
相关习题

科目:高中数学 来源:2015-2016学年江西省抚州市高二3月月考理科数学试卷(解析版) 题型:解答题

已知函数

⑴求的单调区间;

⑵若上恒成立,求所有实数的值;

⑶证明:

查看答案和解析>>

科目:高中数学 来源:2015-2016学年广东省高二下第一次月考文科数学试卷(解析版) 题型:选择题

已知集合( )

A. B. C. D.

查看答案和解析>>

科目:高中数学 来源:2015-2016学年广东省高二下第一次月考理科数学试卷(解析版) 题型:选择题

”是“函数在区间内单调递减”的( )

A.充分不必要条件 B.必要不充分条件

C.充分必要条件 D.既不充分也不必要条件

查看答案和解析>>

科目:高中数学 来源:2015-2016学年福建省四地六校高二下学期第一次联考文科数学试卷(解析版) 题型:解答题

设函数的图象如图所示,且与在原点相切,若函数的极小值为

(1)求的值;(2)求函数的递减区间.

查看答案和解析>>

科目:高中数学 来源:2015-2016学年福建省四地六校高二下学期第一次联考文科数学试卷(解析版) 题型:选择题

已知点在曲线上,为曲线在点处的切线的倾斜角,则的取值范围是( )

A.[0,) B. C. D.

查看答案和解析>>

科目:高中数学 来源:2015-2016学年福建省四地六校高二下学期第一次联考文科数学试卷(解析版) 题型:选择题

,则=( )

A.3 B.-3 C.-6 D.6

查看答案和解析>>

科目:高中数学 来源:2015-2016学年福建省四地六校高二下学期第一次联考理科数学试卷(解析版) 题型:选择题

如图,长方形的四个顶点为,曲线经过点.现将一质点随机投入长方形中,则质点落在图中阴影区域的概率是( )

A. B. C. D.

查看答案和解析>>

科目:高中数学 来源:2015-2016学年福建省高二下期初考试理科数学试卷(解析版) 题型:选择题

给出定义:若函数上可导,即存在,且导函数上也可导,则称上存在二阶导函数,记,若上恒成立,则称上为凸函数.以下四个函数在上不是凸函数的是( )

A. B.

C. D.

查看答案和解析>>

同步练习册答案