精英家教网 > 高中数学 > 题目详情
小明通过做游戏的方式来确定周末活动,他随机地往单位圆内投掷一点,若此点到圆心的距离大于,则周末去看电影;若此点到圆心的距离小于,则去打篮球;否则,在家看书,则小明周末不在家看书的概率为( )
A.
B.
C.
D.
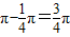
【答案】分析:根据题意,计算可得圆的面积为π,点到圆心的距离大于 的面积为 ,此点到圆心的距离小于 的面积为 ,由几何概型求概率即可.
解答:解:圆的面积为π,点到圆心的距离大于 的面积为
此点到圆心的距离小于 的面积为
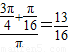
由几何概型得小波周末不在家看书的概率为P=
故选D.
点评:本题考查几何概型问题,以及圆的面积的求解,属基础知识的考查.
练习册系列答案
相关习题

科目:高中数学 来源: 题型:

小明通过做游戏的方式来确定周末活动,他随机地往单位圆内投掷一点,若此点到圆心的距离大于
1
2
,则周末去看电影;若此点到圆心的距离小于
1
4
,则去打篮球;否则,在家看书,则小明周末不在家看书的概率为(  )
A、
1
2
B、
3
4
C、
5
8
D、
13
16

查看答案和解析>>

科目:高中数学 来源: 题型:

小明通过做游戏的方式确定本周六是去同学家玩还是在家看书,他随机地在区间[-1,2]上投掷一点,若此点落在区间[0,1]内时,小明去同学家玩,否则在家看书,那么小明在家看书的概率为
2
3
2
3

查看答案和解析>>

科目:高中数学 来源:吉林省10-11学年高二下学期期末考试数学(理) 题型:填空题

小明通过做游戏的方式来确定周末活动,他随机地往单位圆内投掷一点,若此点到圆心的距离大于,则周末去看电影;若此点到圆心的距离小于,则去打篮球;否则,在家看书,则小明周末不在家看书的概率为            

 

查看答案和解析>>

科目:高中数学 来源:2012届山东省高二下学期期末考试数学(理) 题型:填空题

小明通过做游戏的方式来确定周末活动,他随机地往单位圆内投掷一点,若此点到圆心的距离大于,则周末去看电影;若此点到圆心的距离小于,则去打篮球;否则,在家看书,则小明周末不在家看书的概率为            

 

查看答案和解析>>

科目:高中数学 来源:2012届山东省高二下学期期末考试数学(理) 题型:填空题

小明通过做游戏的方式来确定周末活动,他随机地往单位圆内投掷一点,若此点到圆心的距离大于,则周末去看电影;若此点到圆心的距离小于,则去打篮球;否则,在家看书,则小明周末不在家看书的概率为            

 

查看答案和解析>>

同步练习册答案