精英家教网 > 高中数学 > 题目详情

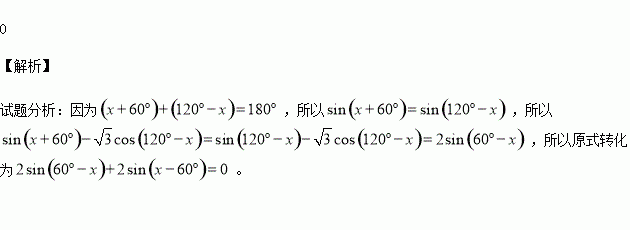
化简的结果是 .

练习册系列答案
相关习题

科目:高中数学 来源:2017届宁夏高三上学期月考一数学(理)试卷(解析版) 题型:填空题

的定义域是

查看答案和解析>>

科目:高中数学 来源:2016-2017学年河北武邑中学高一上周考9.18数学试卷(解析版) 题型:填空题

设函数,当时,的值有正有负,则实数的范围_________.

查看答案和解析>>

科目:高中数学 来源:2016-2017学年河北武邑中学高一上周考9.18数学试卷(解析版) 题型:选择题

函数的图象是( )

查看答案和解析>>

科目:高中数学 来源:2016-2017学年河南许昌市五校高二上学期联考一数学(文)试卷(解析版) 题型:解答题

(1)已知,且,求

(2)已知都是锐角,且,求

查看答案和解析>>

科目:高中数学 来源:2016-2017学年河南许昌市五校高二上学期联考一数学(文)试卷(解析版) 题型:选择题

一只蜜蜂在一个棱长为3的正方体内自由飞行,若蜜蜂在飞行过程中始终保持与正方体6个表面的距离均大于1,称其为“安全飞行”,则蜜蜂“安全飞行”的概率为( )

A. B. C. D.

查看答案和解析>>

科目:高中数学 来源:2016-2017学年河南许昌市五校高二上学期联考一数学(文)试卷(解析版) 题型:选择题

已知集合,那么集合的子集个数为( )

A. 个 B. 个 C.个 D.

查看答案和解析>>

科目:高中数学 来源:2016-2017学年河南许昌市五校高二上学期联考一数学(理)试卷(解析版) 题型:选择题

下列命题中错误的是( )

A.如果,那么内一定存在直线平行于平面

B.如果,那么内所有直线都垂直于平面

C.如果平面不垂直平面,那么内一定不存在直线垂直于平面

D.如果,那么

查看答案和解析>>

科目:高中数学 来源:2015-2016学年江苏连云港东海县房山高级中学高二下期中文数学试卷(解析版) 题型:填空题

用反证法证明命题“三角形的3个内角中至少有2个锐角”时,假设的内容是

查看答案和解析>>

同步练习册答案