精英家教网 > 高中数学 > 题目详情

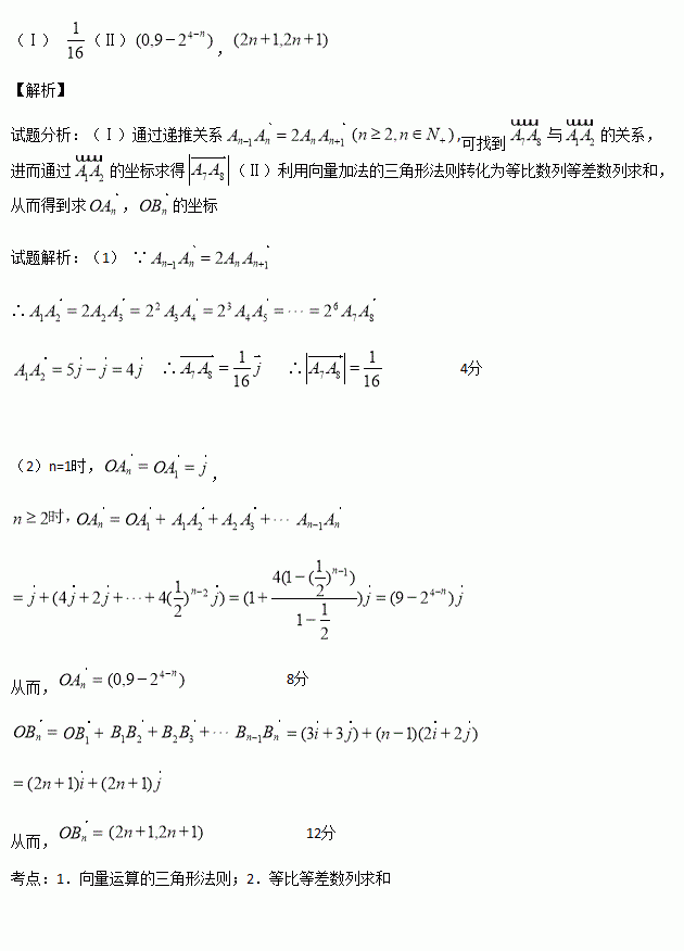
(本小题满分12分)

已知分别是与x轴,y轴方向相同的两个单位向量,,, ,,

(Ⅰ)求

(Ⅱ)求的坐标.

练习册系列答案
相关习题

科目:高中数学 来源:2014-2015学年北京市朝阳区高三第二次综合练习文科数学试卷(解析版) 题型:解答题

已知函数,其中

(Ⅰ)当时,判断在区间上的单调性;

(Ⅱ)当时,若不等式对于恒成立,求实数的取值范围.

查看答案和解析>>

科目:高中数学 来源:2014-2015学年江西省高一下学期期中考试数学试卷(解析版) 题型:选择题

中,,则等于( )

A. B. C. D.以上答案都不对

查看答案和解析>>

科目:高中数学 来源:2014-2015学年吉林省高二下学期月考理科数学试卷(解析版) 题型:选择题

个球,其中个一样的黑球,红、白、蓝球各个,现从中取出个球排成一列,则所有不同的排法种数是( )

A. B. C. D.

查看答案和解析>>

科目:高中数学 来源:2014-2015学年吉林省高二下学期月考理科数学试卷(解析版) 题型:选择题

在数字与符号“+”“—”五个元素的所有全排列中,任意两个数字都不相邻的全排列共有( )

A. 种 B. 种 C. 种 D.

查看答案和解析>>

科目:高中数学 来源:2014-2015学年湖北省高一下学期期中考试数学试卷(解析版) 题型:填空题

已知ABCDEF是正六边形,在下列4个表达式

(1), (2) , (3) , (4) 中,运算结果与相等的表达式共有_________个.

查看答案和解析>>

科目:高中数学 来源:2014-2015学年湖北省高一下学期期中考试数学试卷(解析版) 题型:选择题

圆内接四边形中,( )

A. B. C. D.

查看答案和解析>>

科目:高中数学 来源:2014-2015学年广东省高二下学期期中考试文科数学试卷(解析版) 题型:填空题

黑白两种颜色的正六形地面砖块按如图的规律拼成若干个图案,则第n个图案中有白色地面砖___ __块.

查看答案和解析>>

科目:高中数学 来源:2014-2015学年海南省高三5月模拟理科数学试卷(解析版) 题型:解答题

(本小题满分12分)某校对参加高校自主招生测试的学生进行模拟训练,从中抽出N名学生,其数学成绩的频率分布直方图如图所示.已知成绩在区间[90,100]内的学生人数为2人。

(1)求N的值并估计这次测试数学成绩的平均分和众数;

(2)学校从成绩在[70,100]的三组学生中用分层抽样的方法抽取12名学生进行复试,若成绩在[80,90)这一小组中被抽中的学生实力相当,且能通过复试的概率均为,设成绩在[80,90)这一小组中被抽中的学生中能通过复试的人数为,求的分布列和数学期望.

查看答案和解析>>

同步练习册答案