精英家教网 > 高中数学 > 题目详情
已知函数
(I)求
(II)已知数列满足a1=2,an+1=F(an),求数列{an}的通项公式;
(Ⅲ) 求证:a1a2a3…an
【答案】分析:(I)证明F(x)+F(1-x)=3,利用倒序相加法,可得结论;
(II)证明{}是以2为公差以为首项的等差数列,可求数列{an}的通项公式;
(Ⅲ)证明,即可得到结论.
解答:(I)解:因为F(x)+F(1-x)==3
所以设(1)
(2)
(1)+(2)得:2S=3×2012
所以S=3018----------------(5分)
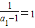
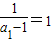
(II)解:由an+1=F(an),两边同减去1,得an+1-1=
所以-=2,
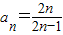
所以{}是以2为公差以为首项的等差数列,
所以
所以---------------(10分)
(III)证明:因为(2n)2>(2n)2-1=(2n-1)(2n+1)
所以
所以(a1a2a3…an2
所以a1a2a3…an.----------------------------(14分)
点评:本题考查数列的通项与求和,考查不等式的证明,考查学生分析解决问题的能力,属于中档题.
练习册系列答案
相关习题

科目:高中数学 来源:2012-2013学年湖北省荆州市高三(上)12月质量检查数学试卷Ⅰ(理科)(解析版) 题型:解答题

已知函数
(I )求函数f(x)的周期和最小值;
(II)在锐角△ABC中,若f(A)=1,,,求△ABC的面积.

查看答案和解析>>

科目:高中数学 来源:2012-2013学年山东省临沂市临沭县高三(上)期中数学试卷(理科)(解析版) 题型:解答题

已知函数
(I)求f(x)的值域;
(II)试画出函数f(x)在区间[-1,5]上的图象.

查看答案和解析>>

科目:高中数学 来源:2012-2013学年辽宁省实验中学高三(上)第二次月考数学试卷(理科)(解析版) 题型:解答题

已知函数
(I)求函数f(x)图象的对称中心和单调递增区间;
(II)△ABC中,角A,B,C的对边分别是a,b,c,且满足a,b,c依次成等比数列,求f(B)的最值.

查看答案和解析>>

科目:高中数学 来源:2012年天津市河北区高考数学一模试卷(理科)(解析版) 题型:解答题

已知函数
(I)求f(x)的单调递增区间;
(II)在△ABC中,三内角A,B,C的对边分别为a,b,c,已知成等差数列,且=9,求a的值.

查看答案和解析>>

科目:高中数学 来源:2013年北京市顺义区高考数学二模试卷(文科)(解析版) 题型:解答题

已知函数
(I)求的值;
(II)求函数f(x)的最小正周期及单调递减区间.

查看答案和解析>>

同步练习册答案