精英家教网 > 高中数学 > 题目详情

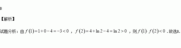
函数的零点所在的区间是( )

A. B. C. D.

练习册系列答案
相关习题

科目:高中数学 来源:2017届陕西西安铁一中高三理上学期三模数学试卷(解析版) 题型:选择题

,则的值是( )

A. B. C. D.

查看答案和解析>>

科目:高中数学 来源:2017届河北唐山市高三理上学期期末数学试卷(解析版) 题型:填空题

为椭圆 的左、右焦点,经过的直线交椭圆两点,若 是面积为的等边三角形,则椭圆的方程为 .

查看答案和解析>>

科目:高中数学 来源:2016-2017学年四川双流中学高一上学期半期数学试卷(解析版) 题型:解答题

已知函数,且

(1)求的值;

(2)判断的奇偶性;

(3)试判断函数的单调性,并证明.

查看答案和解析>>

科目:高中数学 来源:2016-2017学年四川双流中学高一上学期半期数学试卷(解析版) 题型:填空题

已知集合,集合满足,则集合 个.

查看答案和解析>>

科目:高中数学 来源:2016-2017学年四川双流中学高一上学期半期数学试卷(解析版) 题型:选择题

函数的图象经过的定点坐标是( )

A. B. C. D.

查看答案和解析>>

科目:高中数学 来源:2016-2017学年山东寿光现代中学高二12月月考数学试卷(解析版) 题型:解答题

已知命题:方程有两个不相等的实根,命题:关于的不等式对任意的实数恒成立,若“”为真,“”为假,求实数的取值范围.

查看答案和解析>>

科目:高中数学 来源:2016-2017学年山东寿光现代中学高二12月月考数学试卷(解析版) 题型:选择题

下列命题中是真命题的为( )

A.

B.

C.如果,则

D.如果,则

查看答案和解析>>

科目:高中数学 来源:2016-2017学年安徽太和中学高一文上学期月考三数学试卷(解析版) 题型:选择题

已知函数,则( )

A. B. C. D.

查看答案和解析>>

同步练习册答案