精英家教网 > 高中数学 > 题目详情

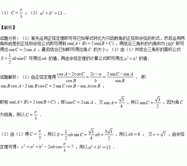
在△ABC中,内角的对边分别为,已知,且,角为锐角.

(1)求角的大小;

(2)若,且△ABC的面积为,求的值.

练习册系列答案
相关习题

科目:高中数学 来源:2015-2016学年山东省高一上学期期中考试数试卷(解析版) 题型:选择题

函数的图象大致是( )

查看答案和解析>>

科目:高中数学 来源:2015-2016学年广东汕头市高二10月月考数学卷(解析版) 题型:选择题

已知平面α和直线l,则α内至少有一条直线与l( )

A.平行 B.相交 C.垂直 D.异面

查看答案和解析>>

科目:高中数学 来源:2015-2016学年陕西省西安市高二上学期期中考试文科数学试卷(解析版) 题型:解答题

已知等差数列{an}满足a2=2,a5=8.

(1)求{an}的通项公式;

(2)各项均为正数的等比数列{bn}中,b1=1,b2+b3=a4,求{bn}的前n项和Tn.

查看答案和解析>>

科目:高中数学 来源:2016届黑龙江省高三12月月考理科数学试卷(解析版) 题型:填空题

如图所示,正方体的棱长为1,分别是棱的中点,过直线的平面分别与棱分别交于两点,设,给出以下四个结论:

①平面平面

②直线∥平面始终成立;

③四边形周长是单调函数;

④四棱锥的体积为常数;以上结论正确的是___________.

查看答案和解析>>

科目:高中数学 来源:2016届河南省郑州市高三上学期联考理科数学试卷(解析版) 题型:解答题

选修4-4:坐标系与参数方程

在平面直角坐标系中,直线的参数方程为为参数),直线与曲线交于两点.

(Ⅰ)求的长;

(Ⅱ)在以为极点,轴的正半轴为极轴建立极坐标系,设点的极坐标为,求点到线段中点的距离.

查看答案和解析>>

科目:高中数学 来源:2015-2016学年青海省高二期中考试数学试卷(解析版) 题型:填空题

已知直线和平面,给出下列四个命题:

其中真命题的有________(请填写全部正确命题的序号).

查看答案和解析>>

科目:高中数学 来源:2015-2016学年浙江省温州市高一上学期期中考试数学试卷(解析版) 题型:选择题

设集合,则等于( )

A. B. C. D.

查看答案和解析>>

科目:高中数学 来源:2016上海复旦大学附中届高三上期中理科数学试卷(解析版) 题型:填空题

直线与直线,若的方向向量是的法向量,则实数

查看答案和解析>>

同步练习册答案