精英家教网 > 高中数学 > 题目详情
设F1,F2分别是椭圆E:(0<b<1)的左,右焦点,过F1的直线l与E相交于A,B两点,且|AF2|
,|AB|,|BF2|成等差数列.
(Ⅰ)求|AB|;
(Ⅱ)若直线l的斜率为1,求b的值.
解:(Ⅰ)由椭圆定义知|AF2|+|AB|+|BF2|=4,
又2|AB|=|AF2|+|BF2|,得|AB|=
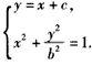
(Ⅱ)l的方程为y=x+c,其中
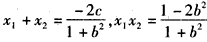
设A(x1,y1),B(x2,y2),
则A,B两点坐标满足方程组
化简得(1+b2)x2+2cx+1-2b2=0,

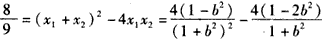
因为直线AB的斜率为1,所以


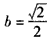
解得
练习册系列答案
相关习题

科目:高中数学 来源: 题型:

设F1,F2分别是椭圆E:
x2
a2
+
y2
b2
=1(a>b>0)
的左、右焦点,过F1斜率为1的直线?与E相交于A,B两点,且|AF2|,|AB|,|BF2|成等差数列.
(1)求E的离心率;
(2)设点P(0,-1)满足|PA|=|PB|,求E的方程

查看答案和解析>>

科目:高中数学 来源: 题型:

设F1,F2分别是椭圆E:x2+
y2b2
=1(0<b<1)的左、右焦点,过F1的直线l与E相交于A、B两点,且|AF2|,|AB|,|BF2|成等差数列.
(Ⅰ)求|AB|;
(Ⅱ)若直线l的斜率为1,求b的值.

查看答案和解析>>

科目:高中数学 来源: 题型:

设F1,F2分别是椭圆E:x2+
y2
b2
=1(0<b<1)
的左、右焦点,过F1的直线l与E相交于A,B两点,且|AF2|,|AB|,|BF2|成等差数列,则|AB|的长为
4
3
4
3

查看答案和解析>>

科目:高中数学 来源: 题型:

设F1、F2分别是椭圆E:x2+
y2
b2
=1(0<b<1)
的左、右焦点,过F1的直线?与E相交于A、B两点,且|AF2|,|AB|,|BF2|成等差数列,则|AB|的长为(  )

查看答案和解析>>

科目:高中数学 来源: 题型:

设F1、F2分别是椭圆E:
x2
a2
+
y2
b2
=1(a>b>0)
的左、右焦点,过F1且斜率为k的直线l与E相交于A、B两点,且|AF2|、|AB|、|BF2|成等差数列.
(1)若a=1,求|AB|的值;
(2)若k=1,设点P(0,-1)满足|PA|=|PB|,求椭圆E的方程.

查看答案和解析>>

同步练习册答案