精英家教网 > 高中数学 > 题目详情
设f(x)=3ax2+2bx+c,若a+b+c=0,f(0)f(1)>0,求证:
(Ⅰ)方程f(x)=0有实根;
(Ⅱ)-2<<-1;
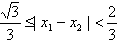
(Ⅲ)设x1,x2是方程f(x)=0的两个实根,则≤|x1-x2|<
证明:(Ⅰ)若a=0,则b=-c,
f(0)f(1)=c(3a+2b+c)=-c2≤0,
与已知矛盾,所以a≠0,
方程3ax2+2bx+c=0的判别式△=4(b2-3ac),
由条件a+b+c=0,消去b,
得△=4(a2+c2-ac)
故方程f(x)=0有实根;
(Ⅱ)由f(0)f(1)>0,得
由条件a+b+c=0,消去c,得
因为
所以

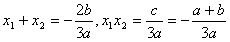
(Ⅲ)由条件,知
所以(x1-x2)2=(x1-x2)2-4x1x2
因为
所以
练习册系列答案
相关习题

科目:高中数学 来源: 题型:

设f(x)=3ax2+2bx+c.若a+b+c=0,f(0)>0,f(1)>0,求证:
(Ⅰ)a>0且-2<
ba
<-1

(Ⅱ)方程f(x)=0在(0,1)内有两个实根.

查看答案和解析>>

科目:高中数学 来源: 题型:

设f(x)=3ax2+2bx+c,若a+b+c=0,f(0)f(1)>0,求证:
(Ⅰ)方程f(x)=0有实根.
(Ⅱ)-2<
a
b
<-1;设x1,x2是方程f(x)=0的两个实根,则.
3
3
≤|x1-x2|<
2
3

查看答案和解析>>

科目:高中数学 来源: 题型:

设f(x)=3ax2+2bx+c,若a+b+c=0,f(0)>0,f(1)>0,求证:a>0且-2<
ba
<-1.

查看答案和解析>>

科目:高中数学 来源: 题型:

设f(x)=3ax2+2bx+c(a≠0),若a+b+c=0,f(0)•f(1)>0,求证:
(I) -2<
b
a
<-1

(II) 设x1,x2是方程f(x)=0的两个实根,则
3
3
≤|x1-x2|<
2
3

查看答案和解析>>

科目:高中数学 来源: 题型:

设f(x)=3ax2+2bx+c(a≠0),若a+b+c=0,f(0)f(1)>0,求证:
(1)方程f(x)=0有实数根;
(2)-2<
b
a
<-1;
(3)设x1,x2是方程f(x)=0的两个实数根,则
3
3
≤|x1-x2|
3
2

查看答案和解析>>

同步练习册答案