精英家教网 > 高中数学 > 题目详情

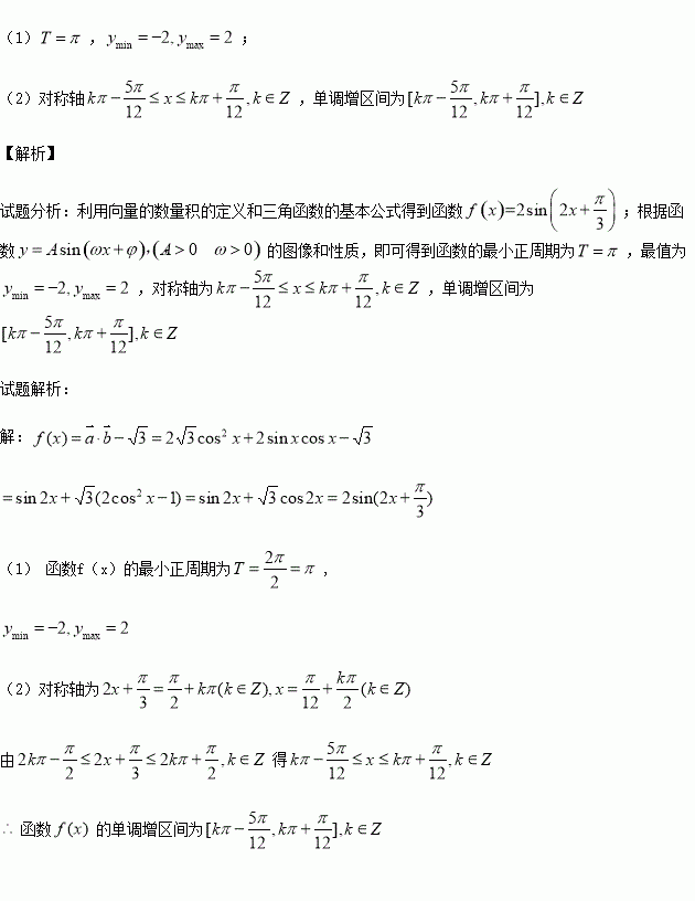
已知:,设函数

求:(1)的最小正周期及最值;(2)的对称轴及单调递增区间.

练习册系列答案
相关习题

科目:高中数学 来源:2015-2016学年广东东莞东华高中高二4月月考理科数学卷(解析版) 题型:解答题

已知函数(其中是自然对数的底数),导函数.

(1)当时,求曲线在点处的切线方程;

(2)若时,都有解,求的取值范围;

(3)若,试证明:对任意恒成立.

查看答案和解析>>

科目:高中数学 来源:2015-2016学年广东中山一中高二上第二次段考数学卷(解析版) 题型:选择题

已知命题,命题,则

A. 命题是真命题 B.命题是真命题

C. 命题是假命题 D.命题是假命题

查看答案和解析>>

科目:高中数学 来源:2015-2016学年黑龙江省高一上学期期末考试数学试卷(解析版) 题型:选择题

将函数的图象右移个单位后,所得函数的下列结论中正确的是( )

A.是最小正周期为2的偶函数

B.是最小正周期为2的奇函数

C.是最小正周期为的偶函数

D.是最小正周期为的奇函数

查看答案和解析>>

科目:高中数学 来源:2015-2016学年黑龙江省高一上学期期末考试数学试卷(解析版) 题型:选择题

如图,函数的图象和直线将平面直角坐标系的第一象限分成八个部分:①②③④⑤⑥⑦⑧。若幂函数的图象经过的部分是④⑧,则可能是( )

A.y=x2 B. C. D.y=x-2

查看答案和解析>>

科目:高中数学 来源:2015-2016学年江西省抚州市高一上学期期末质量检测数学试卷(解析版) 题型:填空题

已知向量 ,则向量 在向量方向上的投影为 .

查看答案和解析>>

科目:高中数学 来源:2015-2016学年江西省抚州市高一上学期期末质量检测数学试卷(解析版) 题型:选择题

函数的零点个数为( )

A. 1个 B. 2个 C. 3个 D. 4个

查看答案和解析>>

科目:高中数学 来源:2015-2016学年江西省南昌市等高一上学期期末联考数学试卷(解析版) 题型:选择题

已知函数的图象如下所示:

给出下列四个命题:

(1)方程 (2)方程

(3)方程 (4)方程

其中正确的命题个数是( )

A.1 B.2 C.3 D.4

查看答案和解析>>

科目:高中数学 来源:2016届江苏省淮安市高三5月信息卷(最后一模)考试数学试卷(解析版) 题型:解答题

已知椭圆)的离心率为,椭圆轴交于两点,且

(1)求椭圆的方程;

(2)设点是椭圆上的一个动点,且点轴的右侧,直线与直线交于两点,若以为直径的圆与轴交于,求点横坐标的取值范围及的最大值.

查看答案和解析>>

同步练习册答案