精英家教网 > 高中数学 > 题目详情

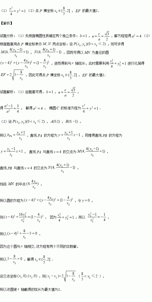
已知椭圆)的离心率为,椭圆轴交于两点,且

(1)求椭圆的方程;

(2)设点是椭圆上的一个动点,且点轴的右侧,直线与直线交于两点,若以为直径的圆与轴交于,求点横坐标的取值范围及的最大值.

练习册系列答案
相关习题

科目:高中数学 来源:2015-2016学年江西省抚州市高一上学期期末质量检测数学试卷(解析版) 题型:解答题

已知:,设函数

求:(1)的最小正周期及最值;(2)的对称轴及单调递增区间.

查看答案和解析>>

科目:高中数学 来源:2015-2016学年山东省菏泽市高一上学期期末考试数学试卷(解析版) 题型:解答题

已知函数

(1)判断函数在区间上的单调性(不必证明);

(2)当,且时,求的值;

(3)若存在实数,使得时,的取值范围是

的值.

查看答案和解析>>

科目:高中数学 来源:2015-2016学年山东省菏泽市高一上学期期末考试数学试卷(解析版) 题型:选择题

如图,网格纸的各小格都是正方形,粗实线画出的 是一个几何体的三视图,则这个几何体是( )

A.三棱锥 B.三棱柱

C.四棱锥 D.四棱柱

查看答案和解析>>

科目:高中数学 来源:2016届江苏省淮安市高三5月信息卷(最后一模)考试数学试卷(解析版) 题型:解答题

[选修4 ??4:坐标系与参数方程]

已知曲线的极坐标方程是,直线的参数方程是为参数).设直线轴的交点是是曲线上一动点,求的最大值.

查看答案和解析>>

科目:高中数学 来源:2016届江苏省淮安市高三5月信息卷(最后一模)考试数学试卷(解析版) 题型:填空题

在区间上存在,使得不等式成立,则实数的取值范围是

查看答案和解析>>

科目:高中数学 来源:2016届江苏省淮安市高三5月信息卷(最后一模)考试数学试卷(解析版) 题型:填空题

中随机取出两个不同的数,则其和为奇数的概率为

查看答案和解析>>

科目:高中数学 来源:2015-2016学年河北省高二下学期第一次月考理科数学试卷(解析版) 题型:选择题

在一个不透明的袋子里,有三个大小相等小球(两黄一红),现在分别由3个同学无放回地抽取,如果已知第一名同学没有抽到红球,那么最后一名同学抽到红球的概率为 ( )

A. B. C. D.无法确定

查看答案和解析>>

科目:高中数学 来源:2016届宁夏六盘山高中高三第三次模拟考试文科数学试卷(解析版) 题型:填空题

是偶函数,且当时,,则的解集是 .

查看答案和解析>>

同步练习册答案