精英家教网 > 高中数学 > 题目详情
已知两定点,直线l过点A且与直线平行,则l上满足||PA|-|PB||=2的点P的个数为( )
A.0
B.1
C.2
D.无法确定
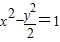
【答案】分析:由题意得直线l的方程为双曲线的方程为,点P在l上且满足||PA|-|PB||=2因为双曲线的渐近线y=±与直线l平行所以结合着图形得直线l与双曲线的交点只有一个,即l上满足||PA|-|PB||=2的点P的个数为1
解答:解:∵直线l过点A且与直线平行
∴直线l的方程为
由题意可得若点P满足||PA|-|PB||=2
则点P在以为焦点以2为实轴,以为虚轴的双曲线上
即双曲线的方程为
由题意得点P在l上且满足||PA|-|PB||=2
∴点P为直线l与双曲线的交点
∵双曲线的渐近线y=±与直线l平行
∴直线l与双曲线的交点只有一个
∴l上满足||PA|-|PB||=2的点P的个数为1
故答案为B
点评:本题考查双曲线方程的求解以及直线与双曲线的位置关系,在判断位置关系时要特别注意直线与双曲线渐近线的关系.
练习册系列答案
相关习题

科目:高中数学 来源: 题型:

已知两定点A(-
3
 , 0)、B(
3
 , 0)
,直线l过点A且与直线y=
2
x+1
平行,则l上满足||PA|-|PB||=2的点P的个数为(  )
A、0B、1C、2D、无法确定

查看答案和解析>>

科目:高中数学 来源: 题型:

精英家教网如图,已知两定点A(-1,0),B(1,0)和定直线l:x=4,动点M在直线l上的射影为N,且2|
BM
|=|
MN
|

(Ⅰ)求动点M的轨迹C的方程并画草图;
(Ⅱ)是否存在过点A的直线n,使得直线n与曲线C相交于P,Q两点,且△PBQ的面积等于
6
3
5
?如果存在,请求出直线n的方程;如果不存在,请说明理由.

查看答案和解析>>

科目:高中数学 来源: 题型:单选题

已知两定点数学公式,直线l过点A且与直线数学公式平行,则l上满足||PA|-|PB||=2的点P的个数为


  1. A.
    0
  2. B.
    1
  3. C.
    2
  4. D.
    无法确定

查看答案和解析>>

科目:高中数学 来源:2009-2010学年吉林省长春市东北师大附中高二(上)期末数学试卷(理科)(解析版) 题型:选择题

已知两定点,直线l过点A且与直线平行,则l上满足||PA|-|PB||=2的点P的个数为( )
A.0
B.1
C.2
D.无法确定

查看答案和解析>>

同步练习册答案