精英家教网 > 高中数学 > 题目详情

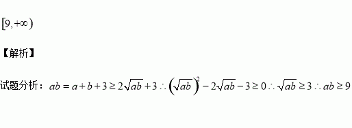
若正数满足,则的取值范围是

练习册系列答案
相关习题

科目:高中数学 来源:2015-2016学年重庆市高一上学期期中数学试卷(解析版) 题型:解答题

如图,定义在上的函数的图象为折线段

(1)求函数的解析式;

(2)请用数形结合的方法求不等式的解集,不需要证明.

查看答案和解析>>

科目:高中数学 来源:2015-2016学年河北省高一上学期期中数学试卷(解析版) 题型:选择题

已知函数上的减函数,则不等式的解集为( )

A. B.

C. D.

查看答案和解析>>

科目:高中数学 来源:2015-2016学年江苏省高邮市高一上学期期中调研数学试卷(解析版) 题型:解答题

已知函数为实常数).

(1)若,求的单调区间(直接写结果);

(2)若,设在区间的最小值为,求的表达式;

(3)设,若函数在区间上是增函数,求实数的取值范围.

查看答案和解析>>

科目:高中数学 来源:2015-2016学年吉林省扶余市高一上学期期中考试数学试卷(解析版) 题型:填空题

如图是△AOB用斜二测画法画出的直观图,则△AOB的面积是________.

查看答案和解析>>

科目:高中数学 来源:2016届黑龙江省高三12月月考理科数学试卷(解析版) 题型:解答题

已知锐角中内角所对边的边长分别为,满足,且

(Ⅰ)求角的值;

(Ⅱ)设函数,图象上相邻两最高点间的距离为,求的取值范围.

查看答案和解析>>

科目:高中数学 来源:2016届河南省郑州市高三上学期联考文科数学试卷(解析版) 题型:填空题

顶点在原点,经过圆的圆心且准线与x轴垂直的抛物线方程为____.

查看答案和解析>>

科目:高中数学 来源:2015-2016学年广西陆川县中学高一上学期周测九数学试卷(解析版) 题型:选择题

用一个平行于棱锥底面的平面截这个棱锥,截得的棱台上、下底面面积比为,截去的棱锥的高是,则棱台的高是( )

A. B. C. D.

查看答案和解析>>

科目:高中数学 来源:2015-2016年湖北武汉华中师大一附高二上期中文科数学卷(解析版) 题型:选择题

在极坐标系中,点到曲线上的点的最小距离等于( )

A. B. C. D.2

查看答案和解析>>

同步练习册答案