精英家教网 > 高中数学 > 题目详情

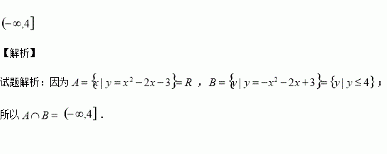
已知集合,则____.

练习册系列答案
相关习题

科目:高中数学 来源:2016届河北省邯郸市高三一轮考试二文科数学试卷(解析版) 题型:填空题

设x,y满足,若,则m的最大值为

查看答案和解析>>

科目:高中数学 来源:2015-2016学年湖南省、攸县一中高二上期中理科数学试卷(解析版) 题型:解答题

如图,要设计一张矩形广告,该广告含有左右大小相等在两个矩形栏目(即图中在阴影部分),这两栏的面积之和为18000cm2,四周空白的宽度为10cm,两栏中间的中缝空白的宽度为5cm,问怎样设计每个栏目的宽和高,能使整张广告的面积最小?

查看答案和解析>>

科目:高中数学 来源:2015-2016学年浙江省温州市十校联合体高二上学期期中考试数学试卷(解析版) 题型:填空题

下列命题中,

①有两个面互相平行,其余各个面都是平行四边形的多面体是棱柱

②四棱锥的四个侧面都可以是直角三角形

③有两个面互相平行,其余各面都是梯形的多面体是棱台

④以直角三角形的一条边所在直线为旋转轴,其余两边旋转形成的曲面所围成的几何体叫圆锥。其中错误的是________.

查看答案和解析>>

科目:高中数学 来源:2015-2016学年湖北省等四校高二上学期期中理科数学试卷(解析版) 题型:选择题

直线过圆内一点,则被圆截得的弦长恰为整数的直线共有( )

A.8条 B.7条 C.6条 D.5条

查看答案和解析>>

科目:高中数学 来源:2015-2016学年湖南省、攸县一中高二上期中文科数学试卷(解析版) 题型:填空题

(浏阳一中选做)已知是等差数列,若,则的值是________.

查看答案和解析>>

科目:高中数学 来源:2015-2016学年浙江省嘉兴市高二上12月月考数学卷(解析版) 题型:选择题

一束光线从点A(-1,1)出发经轴反射,到达圆上一点的最短路程( )

A、4 B、5 C、3-1 D、2

查看答案和解析>>

科目:高中数学 来源:2015-2016学年辽宁省分校高一12月月考数学卷(解析版) 题型:选择题

下列各式中成立的是( ) ( ).

A. B.

C. D.

查看答案和解析>>

科目:高中数学 来源:2015-2016年湖南省株洲市高二上第二次月考文数学卷(解析版) 题型:选择题

已知双曲线的离心率为2.若抛物线的焦点到双

曲线的渐近线的距离为2,则抛物线的方程为( )

(A) (B) (C) (D)

查看答案和解析>>

同步练习册答案