精英家教网 > 高中数学 > 题目详情

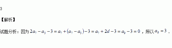
(浏阳一中选做)已知是等差数列,若,则的值是________.

练习册系列答案
相关习题

科目:高中数学 来源:2015-2016学年湖南省衡阳市高二上期中理科数学试卷(解析版) 题型:选择题

已知双曲线的右焦点为,若过点且倾斜角为的直线与双曲线的右支有且只有一个交点,则此双曲线离心率的取值范围是( )

A、 B、 C、 D、

查看答案和解析>>

科目:高中数学 来源:2015-2016学年湖南省、攸县一中高二上期中理科数学试卷(解析版) 题型:选择题

已知条件,条件,则的( )

A.充分不必要条件

B.必要不充分条件

C.充要条件

D.既不充分也不必要条件

查看答案和解析>>

科目:高中数学 来源:2015-2016学年湖北省等四校高二上学期期中理科数学试卷(解析版) 题型:解答题

从某企业生产的某种产品中抽取100件,测量这些产品的一项质量指标值,由测量表得如下频数分布表:

质量指标值分组

[75,85)

[85,95)

[95,105)

[105,115)

[115,125)

频数

6

26

38

22

8

(1)在答题卡上作出这些数据的频率分布直方图 (用阴影表示)

(2)估计这种产品质量指标值的平均数及中位数

(3)根据以上抽样调查数据,能否认为该企业生产的这种产品符合“质量指标值不低于95的产品至少要占全部产品的80%”的规定?

查看答案和解析>>

科目:高中数学 来源:2015-2016年湖南省高一上学期期中考试数学试卷(解析版) 题型:填空题

已知集合,则____.

查看答案和解析>>

科目:高中数学 来源:2015-2016学年浙江省嘉兴市高二上12月月考数学卷(解析版) 题型:填空题

已知实数满足,则的最大值为

查看答案和解析>>

科目:高中数学 来源:2016届山东师大附中高三上学期第三次模拟文科数学试卷(解析版) 题型:选择题

满足约束条件,则下列不等式恒成立的是( )

A. B.

C. D.

查看答案和解析>>

科目:高中数学 来源:2016届河北省邯郸市高三一轮收官考试二理科数学试卷(解析版) 题型:选择题

已知在圆内,过点的最长弦和最短弦分别是,在四边形ABCD的面积为( )

A. B. C. D.

查看答案和解析>>

科目:高中数学 来源:2015-2016年湖南省株洲市高二上第二次月考理数学卷(解析版) 题型:选择题

定义在R上的函数若关于x的方程有三个不同的实数

,且,则下列结论错误的是( )

A. B. C. D.

查看答案和解析>>

同步练习册答案