精英家教网 > 高中数学 > 题目详情

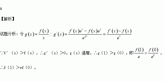
已知定义在R上的函数的导函数为,且满足,则下列结论正确的是( )

A. B.

C. D.

练习册系列答案
相关习题

科目:高中数学 来源:2015-2016学年山东省高一下期中数学试卷(解析版) 题型:解答题

已知,

(1)若向量与向量的夹角为60°,求

(2)若向量与向量垂直,求向量的夹角.

查看答案和解析>>

科目:高中数学 来源:2015-2016学年山西大学附中高一下学期3月模块诊断数学试卷(解析版) 题型:解答题

设函数,且图象的一条对称轴是直线.

(1)求

(2)画出函数在区间上的图象.(在答题纸上完成列表并作图).

查看答案和解析>>

科目:高中数学 来源:2015-2016学年山西大学附中高一下学期3月模块诊断数学试卷(解析版) 题型:选择题

半径为2,圆心角为的扇形的面积为( )

A. B. C. D.

查看答案和解析>>

科目:高中数学 来源:2015-2016学年四川省雅安市高二下期中理科数学试卷(解析版) 题型:填空题

求函数的单调区间.

查看答案和解析>>

科目:高中数学 来源:2015-2016学年四川省雅安市高二下期中理科数学试卷(解析版) 题型:选择题

已知函数的图象如图所示,则下列说法中错误的是( )

(A)在区间上单调递减

(B)在区间上单调递增

(C)当时,

(D)当时,

查看答案和解析>>

科目:高中数学 来源:2015-2016学年内蒙古高二下第一次月考文科数学卷(解析版) 题型:解答题

如图,椭圆的离心率为,直线所围成的矩形ABCD的面积为8.

(Ⅰ)求椭圆M的标准方程;

(Ⅱ) 设直线与椭圆M有两个不同的交点与矩形ABCD有两个不同的交点.求的最大值及取得最大值时m的值.

查看答案和解析>>

科目:高中数学 来源:2015-2016学年内蒙古高二下第一次月考文科数学卷(解析版) 题型:选择题

函数的单调增区间是( )

A . B. C. .D.

查看答案和解析>>

科目:高中数学 来源:2015-2016学年江西省高二3月月考文科数学试卷(解析版) 题型:选择题

已知点是圆 内的一点,直线是以为中点的弦所在直线,直线的方程为,那么 ( )

(A)与圆相交 (B)与圆相切

(C)与圆相离 (D)与圆相离

查看答案和解析>>

同步练习册答案