精英家教网 > 高中数学 > 题目详情

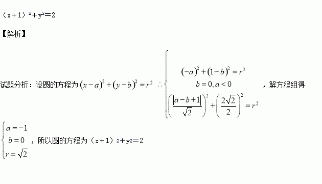
已知圆C过点(0,1),且圆心在x轴负半轴上,直线l:y=x+1被该圆所截得的弦长为,则圆C的标准方程为________.

练习册系列答案
相关习题

科目:高中数学 来源:2015-2016学年吉林省扶余市高一上学期期中考试数学试卷(解析版) 题型:选择题

方程ex-x=2在实数范围内的解有( )个

A.0 B.1 C.2 D.3

查看答案和解析>>

科目:高中数学 来源:2014-2015学年上海市高二下学期期末考试数学试卷(解析版) 题型:填空题

若正方体的体对角线长是4,则正方体的体积是

查看答案和解析>>

科目:高中数学 来源:2015-2016学年辽宁省大连市高二上期中理科数学试卷(解析版) 题型:解答题

(本小题满分12分)

已知椭圆,其左右焦点分别为.对于命题”.写出,判断的真假,并说明理由.

查看答案和解析>>

科目:高中数学 来源:2015-2016学年江西省等三校高二上第一次联考数学试卷(解析版) 题型:填空题

和β为不重合的两个平面,给出下列结论:

(1)若内的两条相交直线分别平行于β内的两条直线,则平行于β;

(2)若外一条直线l与内的一条直线平行,则l和平行;

(3)设和β相交于直线l,若内有一条直线垂直于l,则和β垂直;

(4)直线l与垂直等价于l与内的两条直线垂直.

其中正确结论的序号是________.

查看答案和解析>>

科目:高中数学 来源:2015-2016学年江西省赣州市十三县高二上期中联考理科数学试卷(解析版) 题型:解答题

(本题12分)

已知中,角,所对的边分别是,且

(1)求的值;

(2)若,求面积的最大值.

查看答案和解析>>

科目:高中数学 来源:2015-2016学年湖南省高一上学期期中考试数学试卷(解析版) 题型:选择题

在一次数学实验中,运用计算器采集到如下一组数据:

x

-2.0

-1.0

0

1.00

2.00

3.00

y

0.24

0.51

1

2.02

3.98

8.02

则x,y的函数关系与下列哪类函数最接近(其中,a,b为待定系数)( )

A.y=a+bx B.y=a+bx

C.y=a+logbx D.y=a+

查看答案和解析>>

科目:高中数学 来源:2015-2016学年河北省邢台市高二上第一次月考数学试卷(解析版) 题型:选择题

一个几何体的三视图如下图所示,其中正视图和侧视图是腰长为1的两个全等的等腰直角三角形,则该几何体的外接球的表面积为

A. B. C. D.

查看答案和解析>>

科目:高中数学 来源:2016届辽宁省葫芦岛市高三上学期期中理科数学试卷(解析版) 题型:解答题

(本小题满分12分)已知函数(其中是实数).

(Ⅰ)求的单调区间;

(Ⅱ)若设,且有两个极值点),求的取值范围.(其中为自然对数的底数,).

查看答案和解析>>

同步练习册答案