精英家教网 > 高中数学 > 题目详情

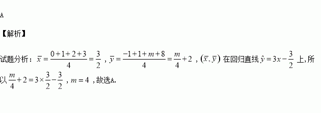
具有线性相关关系的两变量x,y满足的一组数据如下表,若与x的回归直线方程为,则m的值为( )

A.4 B. C.5 D.6

练习册系列答案
相关习题

科目:高中数学 来源:2015-2016学年北京市怀柔区高二上学期期末考试理科数学试卷(解析版) 题型:填空题

一个球的体积在数值上等于其表面积的2倍,则该球半径为______

查看答案和解析>>

科目:高中数学 来源:2016届湖北省沙市高三下第三次半月考文科数学试卷(解析版) 题型:解答题

已知等比数列的各项均为正数,,公比为;等差数列中,,且的前项和 为.

(1)求的通项公式;

(2)设数列满足,求的前项和.

查看答案和解析>>

科目:高中数学 来源:2015-2016学年福建省高二下第一次月考文数学卷(解析版) 题型:解答题

已知在直角坐标系中,曲线的参数方程为(t为参数),在极坐标系(以坐标原点O为极点,x轴的正半轴为极轴)中,曲线的方程为,曲线交于A、B两点.

(Ⅰ)若p=2且定点,求的值;

(Ⅱ)若成等比数列,求p的值.

查看答案和解析>>

科目:高中数学 来源:2015-2016学年福建省高二下第一次月考文数学卷(解析版) 题型:填空题

已知圆的直角坐标方程为,则圆的极坐标方程为____________.

查看答案和解析>>

科目:高中数学 来源:2015-2016学年福建省高二下第一次月考文数学卷(解析版) 题型:解答题

在同一平面直角坐标系中经过伸缩变换后,曲线C变为曲线,则曲线C的方程为( )

A. B. C. D.

查看答案和解析>>

科目:高中数学 来源:2015-2016学年福建省高二下第一次月考理数学卷(解析版) 题型:解答题

展开式中前三项系数成等差数列.求:

(1)展开式中含x的一次幂的项;

(2)展开式中所有x的有理项.

查看答案和解析>>

科目:高中数学 来源:2015-2016学年福建省高二下第一次月考理数学卷(解析版) 题型:选择题

实数不全为0等价于为( )

A.均不为0 B.中至多有一个为0

C.中至少有一个为0 D.中至少有一个不为0

查看答案和解析>>

科目:高中数学 来源:2015-2016学年青海省高一4月月考数学试卷(解析版) 题型:选择题

已知样本数据的平均数和方差分别为1和4,若为非零常数,),则数据的平均数和方差分别为( )

A. B. C. D.

查看答案和解析>>

同步练习册答案