精英家教网 > 高中数学 > 题目详情
已知函数f(x)=+2x,g(x)=lnx.
(1)如果函数y=f(x)在[1,+∞)上是单调减函数,求a的取值范围;
(2)是否存在实数a>0,使得方程=f(x)-(2a+1)在区间(,e)内有且只有两个不相等的实数根?若存在,请求出a的取值范围;若不存在,请说明理由.
【答案】分析:(1)函数y=f(x)在[1,+∞)上是单调减函数,则[1,+∞)为函数f(x)的减区间的子集,分a=0,a>0,a<0三种情况讨论即可;
(2))把方程=f′(x)-(2a+1)整理为,即方程ax2+(1-2a)x-lnx=0,设H(x)=ax2+(1-2a)x-lnx(x>0),则原问题等价于函数H(x)在区间(,e)内有且只有两个零点.利用导数判断出函数H(x)的单调性、最小值,求出区间端点处的函数值,借助图象可得不等式组,解出即可;
解答:解:(1)①当a=0时,f(x)=2x在[1,+∞)上是单调增函数,不符合题意;
②当a>0时,y=f(x)的对称轴方程为x=-,y=f(x)在[1,+∞)上是单调增函数,不符合题意;
③当a<0时,函数y=f(x)在[1,+∞)上是单调减函数,则-≤1,解得a≤-2,
综上,a的取值范围是a≤-2;
(2)把方程=f′(x)-(2a+1)整理为,即方程ax2+(1-2a)x-lnx=0,
设H(x)=ax2+(1-2a)x-lnx(x>0),则原问题等价于函数H(x)在区间(,e)内有且只有两个零点.
H′(x)=2ax+(1-2a)-==,令H′(x)=0,因为a>0,解得x=1或x=-(舍),
当x∈(0,1)时,H′(x)<0,H(x)是减函数;当x∈(1,+∞)时,H′(x)>0,H(x)是增函数.
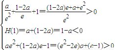
H(x)在(,e)内有且只有两个不相等的零点,只需,即
所以,解得1<a<
所以a的取值范围是(1,).
点评:本题考查利用导数研究函数的单调性、方程根的个数问题,考查数形结合思想、分类讨论思想、转化思想,考查学生对问题的分析解决能力,能力要求较高.
练习册系列答案
相关习题

科目:高中数学 来源: 题型:

已知函数f(x)=sinxcosφ+cosxsinφ(其中x∈R,0<φ<π).
(1)求函数f(x)的最小正周期;
(2)若函数y=f(2x+
π
4
)
的图象关于直线x=
π
6
对称,求φ的值.

查看答案和解析>>

科目:高中数学 来源: 题型:

已知函数f(x)为定义在R上的奇函数,且当x>0时,f(x)=(sinx+cosx)2+2cos2x,
(1)求x<0,时f(x)的表达式;
(2)若关于x的方程f(x)-a=o有解,求实数a的范围.

查看答案和解析>>

科目:高中数学 来源: 题型:

已知函数f(x)=aInx-ax,(a∈R)
(1)求f(x)的单调递增区间;(文科可参考公式:(Inx)=
1
x

(2)若f′(2)=1,记函数g(x)=x3+x2[f(x)+
m
2
]
,若g(x)在区间(1,3)上总不单调,求实数m的范围.

查看答案和解析>>

科目:高中数学 来源: 题型:

已知函数f(x)=x2-bx的图象在点A(1,f(1))处的切线l与直线3x-y+2=0平行,若数列{
1
f(n)
}
的前n项和为Sn,则S2010的值为(  )
A、
2011
2012
B、
2010
2011
C、
2009
2010
D、
2008
2009

查看答案和解析>>

科目:高中数学 来源: 题型:

已知函数f(x)是定义在区间(-1,1)上的奇函数,且对于x∈(-1,1)恒有f’(x)<0成立,若f(-2a2+2)+f(a2+2a+1)<0,则实数a的取值范围是
 

查看答案和解析>>

同步练习册答案