精英家教网 > 高中数学 > 题目详情
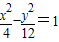
已知双曲线-=1(a>0,b>0)的离心率为2,该双曲线与抛物线y2=16x的准线交于A,B两点,若|AB|=6,则双曲线的方程为( )
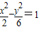
A.
B.
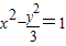
C.
D.
【答案】分析:根据双曲线方程,求出抛物线的准线方程,利用|AB|=6,即可求得结论.
解答:解:∵抛物线y2=16x,2p=16,p=8,∴=4.
∴抛物线的准线方程为x=-4.
设双曲线与抛物线的准线x=-4的两个交点A(-4,y),B(-4,-y)(y>0),
则|AB|=|y-(-y)|=2y=6,∴y=3
将x=-4,y=3
代入双曲线C:-=1,得,①
又双曲线-=1(a>0,b>0)的离心率为2,∴
,b2=3a2
由①②得a2=1,b2=3,
∴双曲线C的方程为
故选A.
点评:本题考查抛物线,双曲线的几何性质,考查学生的计算能力,属于基础题.
练习册系列答案
相关习题

科目:高中数学 来源: 题型:

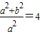
已知双曲线=1(a>0,b>0)的右焦点为F,右准线与一条渐近线交于点A,△OAF的面积为 (O为原点),则两条渐近线的夹角为(    )

A.30°             B.45°              C.60°              D.90°

查看答案和解析>>

科目:高中数学 来源:2012-2013学年山西省晋中市昔阳中学高二(上)第二次月考数学试卷(理科)(解析版) 题型:解答题

已知双曲线=1(a>0,b>0)的离心率为,右准线方程为
(Ⅰ)求双曲线C的方程;
(Ⅱ)已知直线x-y+m=0与双曲线C交于不同的两点A,B,且线段AB的中点在圆x2+y2=5上,求m的值.

查看答案和解析>>

科目:高中数学 来源:2012-2013学年安徽省六安市寿县迎河中学高二(上)第三次月考数学试卷(理科)(解析版) 题型:解答题

已知双曲线=1(a>0,b>0)的离心率为,右准线方程为
(Ⅰ)求双曲线C的方程;
(Ⅱ)已知直线x-y+m=0与双曲线C交于不同的两点A,B,且线段AB的中点在圆x2+y2=5上,求m的值.

查看答案和解析>>

科目:高中数学 来源:2011-2012学年江苏省南通市启东市汇龙中学高二(上)第二次学情调查数学试卷(解析版) 题型:解答题

已知双曲线=1(a>0,b>0)的离心率为,右准线方程为
(Ⅰ)求双曲线C的方程;
(Ⅱ)已知直线x-y+m=0与双曲线C交于不同的两点A,B,且线段AB的中点在圆x2+y2=5上,求m的值.

查看答案和解析>>

科目:高中数学 来源:2010-2011学年贵州省册亨县民族中学高三(上)期末数学试卷(文科)(解析版) 题型:解答题

已知双曲线=1(a>0,b>0)的离心率为,右准线方程为
(Ⅰ)求双曲线C的方程;
(Ⅱ)已知直线x-y+m=0与双曲线C交于不同的两点A,B,且线段AB的中点在圆x2+y2=5上,求m的值.

查看答案和解析>>

同步练习册答案