精英家教网 > 高中数学 > 题目详情

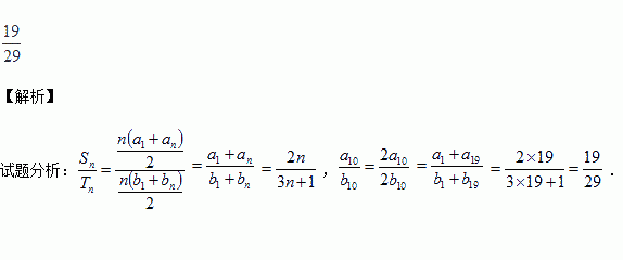
等差数列{an},{bn}的前n项和分别为Sn,Tn,若,则=________.

练习册系列答案
相关习题

科目:高中数学 来源:2016届重庆市高三12月月考文科数学试卷(解析版) 题型:选择题

等比数列中,,公比,则( )

A.2 B.4 C.8 D.16

查看答案和解析>>

科目:高中数学 来源:2015-2016学年湖南省高二上期中数学试卷(解析版) 题型:选择题

已知{}是等差数列,=15,=55,则过点P(3,),Q(4,)的直线斜率为( )

A、4 B、 C、-4 D、-

查看答案和解析>>

科目:高中数学 来源:2015-2016学年河北邢台一中高二上第三次月考理科数学卷(解析版) 题型:解答题

已知圆与圆相切于点,求以为圆心,且与圆的半径相等的圆的标准方程.

查看答案和解析>>

科目:高中数学 来源:2015-2016学年海南省高一上第三次月考数学试卷(解析版) 题型:选择题

函数的定义域是( )

A.

B.

C.

D.

查看答案和解析>>

科目:高中数学 来源:2015-2016学年四川省实验学校高一上学期期中考试数学试卷(解析版) 题型:解答题

(1)若,求的值;

(2)求的值.

查看答案和解析>>

科目:高中数学 来源:2015-2016学年贵州省高二上滾动训练4数学试卷(解析版) 题型:选择题

已知a<0,-1<b<0,则有( )

A.ab2<ab<a B.a<ab<ab2 C.ab>b>ab2 D.ab>ab2>a

查看答案和解析>>

科目:高中数学 来源:2015-2016学年贵州省高二上滾动训练1数学试卷(解析版) 题型:选择题

函数y=Asin(ωx+φ)(A>0,ω>0)的部分图像如图所示,则f(1)+f(2)+f(3)+…+f(2 012)的值等于( )

A. B.2+2 C.+2 D.-2

查看答案和解析>>

科目:高中数学 来源:2016届云南师范大附中高考适应性月考三理科数学试卷(解析版) 题型:选择题

若椭圆的离心率为,则双曲线的渐近线方程为

A. B. C. D.

查看答案和解析>>

同步练习册答案