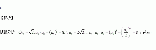
精英家教网 > 高中数学 > 题目详情

等比数列中,,公比,则( )

A.2 B.4 C.8 D.16

练习册系列答案
相关习题

科目:高中数学 来源:2015-2016学年湖南省、攸县一中高二上期中理科数学试卷(解析版) 题型:解答题

如图,要设计一张矩形广告,该广告含有左右大小相等在两个矩形栏目(即图中在阴影部分),这两栏的面积之和为18000cm2,四周空白的宽度为10cm,两栏中间的中缝空白的宽度为5cm,问怎样设计每个栏目的宽和高,能使整张广告的面积最小?

查看答案和解析>>

科目:高中数学 来源:2015-2016学年浙江省嘉兴市高二上12月月考数学卷(解析版) 题型:选择题

一束光线从点A(-1,1)出发经轴反射,到达圆上一点的最短路程( )

A、4 B、5 C、3-1 D、2

查看答案和解析>>

科目:高中数学 来源:2015-2016学年辽宁省分校高一12月月考数学卷(解析版) 题型:选择题

下列各式中成立的是( ) ( ).

A. B.

C. D.

查看答案和解析>>

科目:高中数学 来源:2016届重庆市高三12月月考文科数学试卷(解析版) 题型:解答题

在直角坐标系中,曲线的参数方程为为参数),以原点为极点,以轴正半轴为极轴,建立极坐标系,曲线的极坐标方程为

(1)求曲线的普通方程与曲线的直角坐标方程;

(2)曲线与曲线交于两点,轴交于点,求的值.

查看答案和解析>>

科目:高中数学 来源:2016届重庆市高三12月月考理科数学试卷(解析版) 题型:选择题

正三角形内一点满足,则的值为( )

A. B. C. D.

查看答案和解析>>

科目:高中数学 来源:2015-2016学年江苏省江阴市华士、成化、山观三校高二上期中数学卷(解析版) 题型:填空题

命题:“”的否定是

查看答案和解析>>

科目:高中数学 来源:2015-2016年湖南省株洲市高二上第二次月考文数学卷(解析版) 题型:选择题

已知双曲线的离心率为2.若抛物线的焦点到双

曲线的渐近线的距离为2,则抛物线的方程为( )

(A) (B) (C) (D)

查看答案和解析>>

科目:高中数学 来源:2015-2016学年福建省高一上期中数学试卷(解析版) 题型:填空题

等差数列{an},{bn}的前n项和分别为Sn,Tn,若,则=________.

查看答案和解析>>

同步练习册答案