精英家教网 > 高中数学 > 题目详情

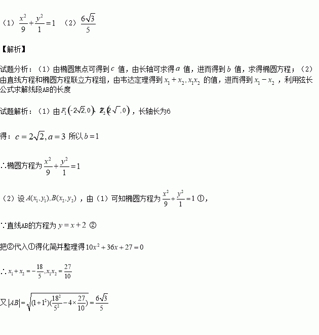
已知椭圆C的两焦点分别为,长轴长为6,

(1)求椭圆C的标准方程;

(2)已知过点(0,2)且斜率为1的直线交椭圆C于A 、B两点,求线段AB的长度

练习册系列答案
相关习题

科目:高中数学 来源:2015-2016学年宁夏石嘴山三中高一上期中数学试卷(解析版) 题型:选择题

三个数 之间的大小关系是( )

A. B. C. D.

查看答案和解析>>

科目:高中数学 来源:2015-2016学年安徽省高二上期中理科数学试卷(解析版) 题型:选择题

若P(A∪B)=P(A)+P(B)=1,则事件A与B的关系是( )

A.互斥不对立 B.对立不互斥 C.互斥且对立 D.以上都不对

查看答案和解析>>

科目:高中数学 来源:2015-2016学年湖南省邵阳市高一上学期期中考试试卷(解析版) 题型:选择题

函数,则等于

A.0 B. C.2 D.4

查看答案和解析>>

科目:高中数学 来源:2015-2016学年福建省四地六校高二上学期11月月考文科数学试卷(解析版) 题型:解答题

某校数学教师为调查本校2014届学生的高考数学成绩情况,用简单随机抽样的方法抽取20名学生的成绩,样本数据的茎叶图如图所示,但部分数据不小心丢失,同时得到如下所示的频率分布表:

分数段(分)

总计

频 数

频 率

(1)求表中的值及分数在范围内的学生人数,并估计这次考试全校学生数学成绩的及格率(分数在内为及格);

(2)从大于等于110分的成绩中随机选2个成绩,求这2个成绩的平均分不小于130分的概率。

查看答案和解析>>

科目:高中数学 来源:2015-2016学年福建省四地六校高二上学期11月月考理科数学试卷(解析版) 题型:选择题

若命题p:?x∈R,2x2+1>0,则p是( )

A.?x∈R,2x2+1≤0 B.?x∈R,2x2+1>0

C.?x∈R,2x2+1<0 D.?x∈R,2x2+1≤0

查看答案和解析>>

科目:高中数学 来源:2015-2016学年安徽省高二上期中文科数学试卷(解析版) 题型:填空题

命题“”的否定是

查看答案和解析>>

科目:高中数学 来源:2016届浙江省高三上学期期中理科数学试卷(解析版) 题型:选择题

定义,设实数满足约束条件,则的取值范围是( )

A. B. C. D.

查看答案和解析>>

科目:高中数学 来源:2015-2016学年重庆市高一上期中数学试卷(解析版) 题型:选择题

下列各组函数中,表示同一函数的是( )

A.

B.

C.

D.

查看答案和解析>>

同步练习册答案