精英家教网 > 高中数学 > 题目详情

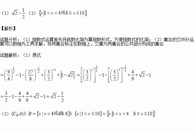
(1)计算:

(2)已知集合,求

练习册系列答案
相关习题

科目:高中数学 来源:2016届甘肃省高三上学期期中文科数学试卷(解析版) 题型:解答题

(本小题满分10分)选修4-1:几何证明选讲

如图,AB是⊙O的一条切线,切点为B,直线ADE,CFD,CGE都是⊙O的割线,已知AC=AB.

(1)若CG=1,CD=4,求的值.

(2)求证:FG//AC;

查看答案和解析>>

科目:高中数学 来源:2015-2016学年广东省深圳市高一上学期期中数学试卷(解析版) 题型:选择题

已知函数互不相等,且的取值范围是( )

A. B. C. D.

查看答案和解析>>

科目:高中数学 来源:2014-2015学年山西襄汾赵曲中学高一上学期第一次月考人教版数学试卷(解析版) 题型:选择题

方程x2-px+6=0的解集为M,方程x2+6x-q=0的解集为N,且M∩N={2},那么p+q=( )

A.21 B.8 C.6 D.7

查看答案和解析>>

科目:高中数学 来源:2015-2016学年四川省德阳市高一10月月考数学试卷(解析版) 题型:填空题

设集合的两个子集,若,则称为集合的一个分拆,当且仅当=时,是同一个分拆。那么集合的不同的分拆个数有__________个。

查看答案和解析>>

科目:高中数学 来源:2015-2016学年内蒙古巴彦淖尔市高一10月月考数学试卷(解析版) 题型:选择题

已知全集,集合,则的值为( )

A.3 B. C.3 D.

查看答案和解析>>

科目:高中数学 来源:2015-2016学年江苏省泰州市姜堰区高二上学期期中考试理科数学试卷(解析版) 题型:填空题

已知椭圆的左右焦点分别为,C上一点P满足,则的内切圆面积为

查看答案和解析>>

科目:高中数学 来源:2015-2016学年河北省高二10月月考文科数学试卷(解析版) 题型:选择题

分别是椭圆的左、右焦点,过的直线交椭圆于两点,若,则椭圆的离心率为( )

A. B. C. D.

查看答案和解析>>

科目:高中数学 来源:2015-2016学年广东省高二上学期期中考试理科数学试卷(解析版) 题型:选择题

如下图是年元旦晚会举办的挑战主持人大赛上,七位评委为某选手打出的分数的茎叶统计图,去掉一个最高分和一个最低分后,所剩数据的众数和中位数分别为( )

A.84,,84 B.84,85 C.85,84 D.85,85

查看答案和解析>>

同步练习册答案