精英家教网 > 高中数学 > 题目详情
为保护水资源,宣传节约用水,某校4名志愿者准备去附近的甲、乙、丙三家公园进行宣传活动,每名志愿者都可以从三家公园中随机选择一家,且每人的选择相互独立,   
(1)求4人恰好选择了同一家公园的概率;  
(2)设选择甲公园的志愿者的人数为X,试求X的分布列及期望。
解:(1)设A={4 人恰好选择了同一家公园} ,

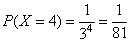
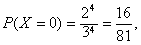
(2)X可能取值为0,1,2,3,4,



X的分布列为

练习册系列答案
相关习题

科目:高中数学 来源: 题型:

为保护水资源,宣传节约用水,某校4名志愿者准备去附近的甲、乙、丙三家公园进行宣传活动,每名志愿者都可以从三家公园中随机选择一家,且每人的选择相互独立.
(1)求4人恰好选择了同一家公园的概率;
(2)设选择甲公园的志愿者的人数为X,试求X的分布列及期望.

查看答案和解析>>

科目:高中数学 来源:2010年北京市海淀区高三第二次模拟考试数学(理) 题型:解答题

(本小题满分13分)
为保护水资源,宣传节约用水,某校4名志愿者准备去附近的甲、乙、丙三家公园进行宣传活动,每名志愿者都可以从三家公园中随机选择一家,且每人的选择相互独立.
(Ⅰ)求4人恰好选择了同一家公园的概率;
(Ⅱ)设选择甲公园的志愿者的人数为,试求的分布列及期望.

查看答案和解析>>

科目:高中数学 来源:2010年北京市海淀区高三第二次模拟考试数学(理) 题型:解答题

(本小题满分13分)

为保护水资源,宣传节约用水,某校4名志愿者准备去附近的甲、乙、丙三家公园进行宣传活动,每名志愿者都可以从三家公园中随机选择一家,且每人的选择相互独立.

(Ⅰ)求4人恰好选择了同一家公园的概率;

(Ⅱ)设选择甲公园的志愿者的人数为,试求的分布列及期望.

 

查看答案和解析>>

科目:高中数学 来源:北京期末题 题型:解答题

为保护水资源,宣传节约用水,某校4名志愿者准备去附近的甲、乙、 丙三家公园进行宣传活动,每名志愿者都可以从三家公园中随机选择一家,且每人的选择相互独立。
(Ⅰ)求4人恰好选择了同一家公园的概率;
(Ⅱ)设选择甲公园的志愿者的人数为x,试求x的分布列及期望。

查看答案和解析>>

科目:高中数学 来源:2010年北京市海淀区高考数学二模试卷(理科)(解析版) 题型:解答题

为保护水资源,宣传节约用水,某校4名志愿者准备去附近的甲、乙、丙三家公园进行宣传活动,每名志愿者都可以从三家公园中随机选择一家,且每人的选择相互独立.
(1)求4人恰好选择了同一家公园的概率;
(2)设选择甲公园的志愿者的人数为X,试求X的分布列及期望.

查看答案和解析>>

同步练习册答案