精英家教网 > 高中数学 > 题目详情

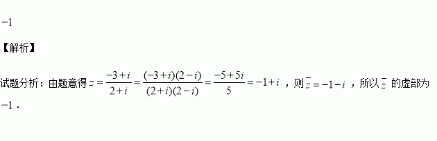
复数的共轭复数为,则的虚部为 .

练习册系列答案
相关习题

科目:高中数学 来源:2016届山西省高考考前质量检测三理科数学试卷(解析版) 题型:填空题

已知复数满足,则_______.

查看答案和解析>>

科目:高中数学 来源:2015-2016学年河北石家庄辛集中学高二下期中理数学卷(解析版) 题型:填空题

已知盒中有大小相同的3个红球和2个白球,若每次不放回的从盒中取一个球,一直到取出所有白球时停止抽取,则停止抽取时恰好取到两个红球的概率为

查看答案和解析>>

科目:高中数学 来源:2015-2016学年河北石家庄辛集中学高二下期中理数学卷(解析版) 题型:选择题

某工厂为了调查工人文化程度与月收入的关系,随机抽取了部分工人,得到如下列表:

由上表中数据计算得=6.109,请根据下表,估计有多大把握认为“文化程度与月收入有关系”( )

A.1% B.99% C.2.5% D.97.5%

查看答案和解析>>

科目:高中数学 来源:2015-2016学年山东省高二下期中文科数学试卷(解析版) 题型:解答题

(1)求证:

(2)已知,求证:中至少有一个小于2.

查看答案和解析>>

科目:高中数学 来源:2015-2016学年山东省高二下期中文科数学试卷(解析版) 题型:选择题

已知有极大值和极小值,则的取值范围为( )

A. B.

C. D.

查看答案和解析>>

科目:高中数学 来源:2015-2016学年山东省高二下期中理科数学试卷(解析版) 题型:解答题

已知函数.

(1)若函数的图像在的切线方程为,求的值;

(2)若函数在上是增函数,求实数的取值范围;

(3)如果函数有两个不同的极值点,证明:.

查看答案和解析>>

科目:高中数学 来源:2015-2016学年山东省高二下期中理科数学试卷(解析版) 题型:选择题

曲线在点处切线的斜率为( )

A. B.1 C.-1 D.

查看答案和解析>>

科目:高中数学 来源:2016届海南师大附中高三第九次月考文科数学试卷(解析版) 题型:选择题

已知是双曲线的两焦点,以线段为边作正三角形 ,若边的中点在双曲线上,则双曲线的离心率是( )

A. B. C. D.

查看答案和解析>>

同步练习册答案