精英家教网 > 高中数学 > 题目详情
设函数f(x)定义域为D,若满足①f(x)在D内是单调函数;②存在[a,b]⊆D使f(x)在[a,b]上的值域为[a,b],那么就称y=f(x)为“成功函数”.若函数g(x)=loga(a2x+t)(a>0,a≠1)是定义域为R的“成功函数”,则t的取值范围为( )
A.(0,+∞)
B.(-∞,0)
C.
D.
【答案】分析:根据“成功函数”的概念利用对数函数的性质和一元二次方程根的判别式求解.
解答:解:依题意,函数g(x)=loga(a2x+t)(a>0,a≠1)在定义域上为单调递增函数,且t≥0,
而t=0时,g(x)=2x不满足条件②,
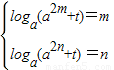
∴t>0.设存在[m,n],使得g(x)在[m,n]上的值域为[m,n],
,即
∴m,n是方程(ax2-ax+t=0的两个不等实根,
∴△=1-4t>0,

故选D.
点评:准确把握“成功函数”的概念,合理运用对数函数的性质和一元二次方程根的判别式.
练习册系列答案
相关习题

科目:高中数学 来源: 题型:

设函数f(x)定义域为D,若满足①f(x)在D内是单调函数;②存在[a,b]⊆D使f(x)在[a,b]上的值域为[a,b],那么就称y=f(x)为“成功函数”.若函数g(x)=loga(a2x+t)(a>0,a≠1)是定义域为R的“成功函数”,则t的取值范围为(  )
A、(0,+∞)
B、(-∞,0)
C、[0,
1
4
]
D、(0,
1
4
)

查看答案和解析>>

科目:高中数学 来源: 题型:

设函数f(x)定义域为R,对一切x、y∈R,均满足:f(x+y)+f(x-y)=2f(x)cosy,且f(0)=3,f(
π2
)=4

(1)求f(π)的值;
(2)求证:f(x)为周期函数,并求出其一个周期;
(3)求函数f(x)解析式.

查看答案和解析>>

科目:高中数学 来源: 题型:

设函数f(x)定义域为R且f(x)的值恒大于0,对于任意实数x,y,总有f(x+y)=f(x)•f(y),且当x<0时,f(x)>1.
(1)求证:f(0)=1,且f(x)在R上单调递减;
(2)设集合A={(x,y)|f(x2)•f(y2)>f(1)},B={(x,y)|f(ax-y+2)=1,a∈R},若A∩B≠∅,求a的取值范围.

查看答案和解析>>

科目:高中数学 来源: 题型:

设函数f(x)定义域为R,当x>0时,f(x)>1,且对任意x,y∈R,有f(x+y)=f(x)•f(y).
(1)证明:f(0)=1;          
(2)证明:f(x)在R上是增函数;
(3)设集合A={(x,y)|f(x2)•f(y2)<f(1)},B={(x,y)|f(x+y+c)=1,c∈R},若A∩B=φ,求c的取值范围.

查看答案和解析>>

科目:高中数学 来源: 题型:

设函数f(x)定义域为D,x1
x
 
2
∈D
,同时满足下列条件
f(x1
x
 
2
)=f(x1)+f(x2)

f(x2)-f(x1)
x2-x 1
>0

f(
x1+
x
 
2
2
)>
1
2
[f(x1)+f(x2)]
的函数是(  )

查看答案和解析>>

同步练习册答案