精英家教网 > 高中数学 > 题目详情

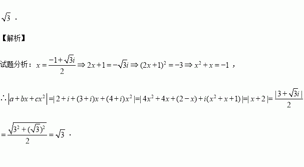
,则

练习册系列答案
相关习题

科目:高中数学 来源:2015-2016学年江苏省泰州市姜堰区高一上学期期中考试数学试卷(解析版) 题型:填空题

计算=_______________.

查看答案和解析>>

科目:高中数学 来源:2016届辽宁省大连市高三10月月考文科数学试卷(解析版) 题型:解答题

(本小题满分12分)已知数列是首项为正数的等差数列,数列的前项和为

(Ⅰ)求数列的通项公式;

(Ⅱ)设,求数列的前项和

查看答案和解析>>

科目:高中数学 来源:2014-2015学年广东省高二6月月考理科数学试卷(解析版) 题型:选择题

设集合( )

A. B. C. D.

查看答案和解析>>

科目:高中数学 来源:2015-2016学年浙江省高二上期中数学试卷(解析版) 题型:填空题

设抛物线的焦点为,点上,,若以为直径的圆过点,则

查看答案和解析>>

科目:高中数学 来源:2015-2016学年河北省高一上学期期中数学试卷(解析版) 题型:解答题

(本小题满分12分)已知函数

(Ⅰ)若,解不等式

(Ⅱ)若,任意,求实数的取值范围.

查看答案和解析>>

科目:高中数学 来源:2015-2016学年河北省高二上学期期中数学试卷(解析版) 题型:填空题

若不等式对于一切实数均成立,则实数的取值范围是____.

查看答案和解析>>

科目:高中数学 来源:2016届浙江省高三期中理科数学试卷(解析版) 题型:选择题

设双曲线的左、右焦点分别为,离心率为,过的直线与双曲线的右支交于两点,若是以为直角顶点的等腰直角三角形,则( )

A. B. C. D.

查看答案和解析>>

科目:高中数学 来源:2016届甘肃省高三上学期期中文科数学试卷(解析版) 题型:选择题

已知集合A=则(CRA)B=( )

A. B. C. D.

查看答案和解析>>

同步练习册答案