精英家教网 > 高中数学 > 题目详情

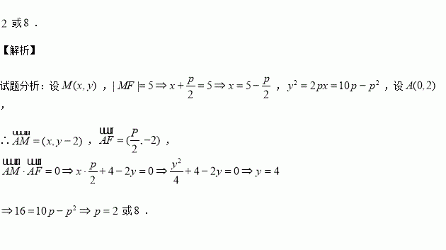
设抛物线的焦点为,点上,,若以为直径的圆过点,则

练习册系列答案
相关习题

科目:高中数学 来源:2015-2016学年四川成都市六校高二上学期期中联考理科数学试卷(解析版) 题型:选择题

已知圆,从点发出的光线,经轴反射后恰好经过圆心,则入射光线的斜率为

A. B. C. D.

查看答案和解析>>

科目:高中数学 来源:2014-2015年河北保定一中高二下第一次段考理数学试卷(解析版) 题型:填空题

已知函数,如果成立,则实数a的取值范围为

查看答案和解析>>

科目:高中数学 来源:2014-2015学年广东省高二6月月考理科数学试卷(解析版) 题型:解答题

(本小题满分14分)已知函数,令

(1)当时,求函数的单调递增区间;

(2)若关于的不等式恒成立,求整数的最小值;

(3)若,正实数满足,证明:

查看答案和解析>>

科目:高中数学 来源:2016届重庆市高三上学期期中文科数学试卷(解析版) 题型:填空题

是小于9的正整数,是奇数是3的倍数,则

查看答案和解析>>

科目:高中数学 来源:2015-2016年浙江宁波效实中学高二1,2班上期中数学卷(解析版) 题型:填空题

,则

查看答案和解析>>

科目:高中数学 来源:2015-2016学年河北省高一上学期期中数学试卷(解析版) 题型:选择题

已知函数的值为

A. B. C. D.

查看答案和解析>>

科目:高中数学 来源:2016届浙江省高三期中文科数学试卷(解析版) 题型:填空题

已知等差数列是数列的前项和,且满足,则数列的首项_____,通项___ ___.

查看答案和解析>>

科目:高中数学 来源:2016届甘肃省高三上学期期中文科数学试卷(解析版) 题型:解答题

(本小题12分)己知是椭圆)上的三点,其中点的坐标为 过椭圆的中心,且

(Ⅰ)求椭圆的方程;

(Ⅱ)过点的直线(斜率存在时)与椭圆交于两点,设为椭圆 轴负半轴的交点,且,求实数的取值范围.

查看答案和解析>>

同步练习册答案