精英家教网 > 高中数学 > 题目详情

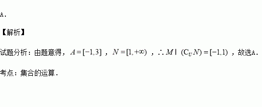
已知全集为,集合,则为( )

A. B.

C. D.

练习册系列答案
相关习题

科目:高中数学 来源:2015-2016学年江西省高一上第三次考试数学试卷(解析版) 题型:选择题

函数的图象 ( )

A.关于原点对称

B.关于点(,0)对称

C.关于轴对称

D.关于直线对称

查看答案和解析>>

科目:高中数学 来源:2015-2016学年福建省四地六校高二上学期11月月考文科数学试卷(解析版) 题型:选择题

一个椭圆中心在原点,焦点F1,F2在x轴上,P(2,)是椭圆上一点,且|PF1|,|F1F2|,|PF2|成等差数列,则椭圆方程为( )

A. B. C. D.

查看答案和解析>>

科目:高中数学 来源:2015-2016学年安徽省高二上期中文科数学试卷(解析版) 题型:选择题

某初级中学有学生270人,其中一年级108人,二、三年级各81人,现要利用抽样方法抽取10人参加某项调查,考虑选用简单随机抽样、分层抽样和系统抽样三种方案,使用简单随机抽样和分层抽样时,将学生按一、二、三年级依次统一编号为1,2,…,270;使用系统抽样时,将学生统一随机编号1,2,…,270,并将整个编号依次分为10段.如果抽得号码有下列四种情况:

①7,34,61,88,115,142,169,196,223,250;

②5,9,100,107,111,121,180,195,200,265;

③11,38,65,92,119,146,173,200,227,254;

④30,57,84,111,138,165,192,219,246,270;

关于上述样本的下列结论中,正确的是 ( )

A.①、③都可能为分层抽样

B.②、④都不能为分层抽样

C.①、④都可能为系统抽样

D.②、③都不能为系统抽样

查看答案和解析>>

科目:高中数学 来源:2016届浙江省高三上学期期中文科数学试卷(解析版) 题型:解答题

已知抛物线的方程为,点在抛物线上.

(1)求抛物线的方程;

(2)过点作直线交抛物线于不同于的两点,若直线分别交直线两点,求最小时直线的方程.

查看答案和解析>>

科目:高中数学 来源:2016届山东省高三上开学考试文科数学试卷(解析版) 题型:解答题

如图,椭圆)经过点,且离心率为

(Ⅰ)求椭圆的方程;

(Ⅱ)经过点,且斜率为的直线与椭圆交于不同两点(均异于点),证明:直线的斜率之和为

查看答案和解析>>

科目:高中数学 来源:2016届山东省高三上开学考试理科数学试卷(解析版) 题型:填空题

已知的展开式中的系数与的展开式中的系数相等,则

查看答案和解析>>

科目:高中数学 来源:2016届安徽省等高三第三次联考文科数学卷(解析版) 题型:填空题

两个同底的正四棱锥内接于同一个球,两个四棱锥侧面与底面形成的角分别为,则的取值范围是

查看答案和解析>>

科目:高中数学 来源:2015-2016学年云南省高一上期中数学试卷(解析版) 题型:解答题

计算下列各题:

(1)

(2)

查看答案和解析>>

同步练习册答案