精英家教网 > 高中数学 > 题目详情

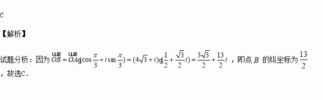
已知点的坐标为,将绕坐标原点逆时针旋转,则点的纵坐标为( )

A. B. C. D.

练习册系列答案
相关习题

科目:高中数学 来源:2015-2016学年广东省普宁市高二上期中文科数学试卷(解析版) 题型:选择题

设函数,则下列结论正确的是( )

A、的图象关于直线对称

B、的图象关于点对称

C、的最小正周期为,且在上为增函数

D、把的图象向右平移个单位,得到一个偶函数的图象

查看答案和解析>>

科目:高中数学 来源:2016届辽宁省葫芦岛市高三上学期期中理科数学试卷(解析版) 题型:选择题

若实数满足,则目标函数的最大值为( )

A. B. C. D.

查看答案和解析>>

科目:高中数学 来源:2016届黑龙江省牡丹江市高三上学期期中理科数学试卷(解析版) 题型:选择题

下列命题是假命题的是 ( )

A. B.

C. D.

查看答案和解析>>

科目:高中数学 来源:2016届福建省高三上学期期中理科数学试卷(解析版) 题型:解答题

(本小题满分12分)已知函数

(Ⅰ)求函数的单调递增区间;

(Ⅱ)证明:当时,

查看答案和解析>>

科目:高中数学 来源:2015-2016学年江西南昌二中高二上学期期中文科数学试卷(解析版) 题型:选择题

若抛物线的焦点与双曲线的右焦点重合,则该抛物线的准线方程为

A. B. C. D.

查看答案和解析>>

科目:高中数学 来源:2015-2016学年江西南昌二中高二上学期期中理科数学试卷(解析版) 题型:选择题

已知直线平行,则的值是

A.0或1 B.1或 C.0或 D.

查看答案和解析>>

科目:高中数学 来源:2015-2016学年吉林实验中学高二上学期期中文科数学试卷(解析版) 题型:选择题

已知圆的方程为.设该圆过点的最长弦和最短弦分别为,则四边形面积为

A. B. C. D.

查看答案和解析>>

科目:高中数学 来源:2016届北京市海淀区高三上学期期中考试文科数学试卷(解析版) 题型:填空题

已知向量,点,点为直线上一个动点.若//,则点的坐标为____.

查看答案和解析>>

同步练习册答案