精英家教网 > 高中数学 > 题目详情

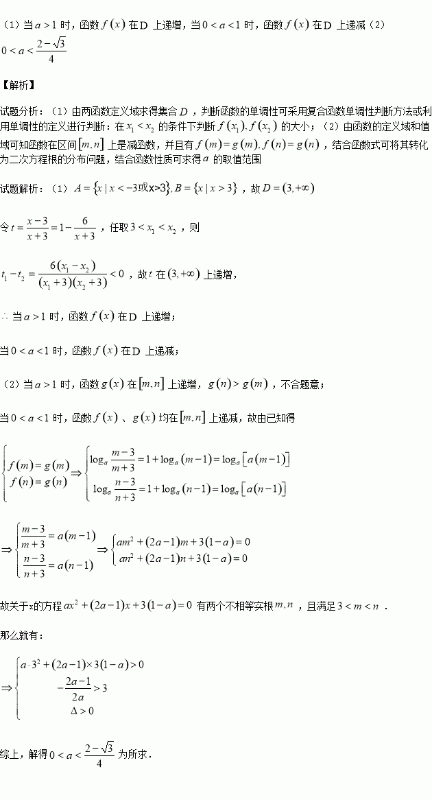
(共12分)设,函数,两函数的定义域分别为集合A,B,若将

(1)试求函数上的单调性;

(2)若,函数上的值域恰好为,求的取值范围.

练习册系列答案
相关习题

科目:高中数学 来源:2016届云南省玉溪市高三上学期期中理科数学试卷(解析版) 题型:选择题

已知双曲线与抛物线有一个共同的焦点F,两曲线的一个交点为P,若,则点F到双曲线的渐近线的距离为( )

A. B. C. D.

查看答案和解析>>

科目:高中数学 来源:2016届福建省高三上学期期中理科数学试卷(解析版) 题型:选择题

,则的值为( )

A. B. C. D.

查看答案和解析>>

科目:高中数学 来源:2015-2016学年吉林省高一上学期期中数学试卷(解析版) 题型:选择题

下列函数是相同函数的是

(A)

(B)

(C)

(D)

查看答案和解析>>

科目:高中数学 来源:2015-2016学年吉林实验中学高二上学期期中理科数学试卷(解析版) 题型:解答题

(本小题12分)已知

求(Ⅰ)的取值范围;

(Ⅱ)的最小值.

查看答案和解析>>

科目:高中数学 来源:2015-2016学年湖北省高一上学期期中数学试卷(解析版) 题型:解答题

(本大题满分12分)对于在区间上有意义的两个函数,如果对任意的,均有,则称上是接近的,否则称上是非接近的.现在有两个函数,现给定区间

(1)若,判断是否在给定区间上接近;

(2)若在给定区间上都有意义,求的取值的集合

(3)在(2)的条件下,是否存在,使得在给定区间上是接近的;若存在,求的取值范围;若不存在,请说明理由.

查看答案和解析>>

科目:高中数学 来源:2015-2016学年广东省佛山市高一上学期期中数学试卷(解析版) 题型:填空题

是函数的单调递增区间___________.

查看答案和解析>>

科目:高中数学 来源:2015-2016学年甘肃省嘉峪关市高二上学期期中考试文科数学试卷(解析版) 题型:解答题

(本小题满分10分)等比数列中,,求

查看答案和解析>>

科目:高中数学 来源:2015-2016学年浙江省宁波市高一上期中数学试卷(解析版) 题型:选择题

,则的大小关系是( )

A. B.

C. D.

查看答案和解析>>

同步练习册答案