精英家教网 > 高中数学 > 题目详情

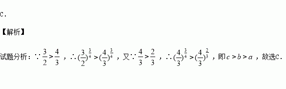
,则的大小关系是( )

A. B.

C. D.

练习册系列答案
相关习题

科目:高中数学 来源:2015-2016学年湖南省常德市高一上学期期中数学试卷(解析版) 题型:解答题

(共12分)设,函数,两函数的定义域分别为集合A,B,若将

(1)试求函数上的单调性;

(2)若,函数上的值域恰好为,求的取值范围.

查看答案和解析>>

科目:高中数学 来源:2016届浙江宁波效实中学高三上期中考试文科数学试卷(解析版) 题型:选择题

已知正的顶点在平面上,顶点在平面的同一侧,的中点,若在平面上的射影是以为直角顶点的三角形,则直线与平面所成角的正弦值的范围是( )_科A. B. C. D.

查看答案和解析>>

科目:高中数学 来源:2016届河南省原名校高三上学期第一次联考文科数学试卷(解析版) 题型:解答题

(本小题满分12分)已知函数

(1)判断在区间上单调性;

(2)若,函数在区间上的最大值为,求的解析式,并判断是否有最大值和最小值,请说明理由(参考数据:).

查看答案和解析>>

科目:高中数学 来源:2016届河南省原名校高三上学期第一次联考理科数学试卷(解析版) 题型:解答题

(本小题满分12分)已知二次函数的图象经过坐标原点,其导函数为.数列的前项和为,点均在函数的图象上.

(1)求数列的通项公式;

(2)设是数列的前项和,求使得对所有都成立的最小正整数

查看答案和解析>>

科目:高中数学 来源:2015-2016学年四川绵阳南山中学高二上期中理科数学试卷(解析版) 题型:选择题

抛物线的焦点的坐标是( )

A、 B、 C、 D、

查看答案和解析>>

科目:高中数学 来源:2015-2016学年广西桂林中学高二上期中考试文科数学试卷(解析版) 题型:填空题

已知数列满足,则=

查看答案和解析>>

科目:高中数学 来源:2015-2016学年辽宁省大连市高二10月月考数学试卷(解析版) 题型:解答题

现有5道题,其中3道甲类题,2道乙类题,张同学从中任取2道题解答.试求:

(1)所取的2道题都是甲类题的概率;

(2)所取的2道题不是同一类题的概率.

查看答案和解析>>

科目:高中数学 来源:2015-2016学年广东省普宁市高一上学期期中考试数学试卷(解析版) 题型:选择题

过点且与直线垂直的直线方程为( )

A. B. C. D.

查看答案和解析>>

同步练习册答案