精英家教网 > 高中数学 > 题目详情

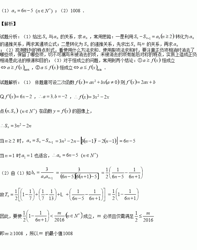
(本小题满分12分)已知二次函数的图象经过坐标原点,其导函数为.数列的前项和为,点均在函数的图象上.

(1)求数列的通项公式;

(2)设是数列的前项和,求使得对所有都成立的最小正整数

练习册系列答案
相关习题

科目:高中数学 来源:2015-2016学年吉林实验中学高二上学期期中理科数学试卷(解析版) 题型:解答题

(本小题12分)已知

求(Ⅰ)的取值范围;

(Ⅱ)的最小值.

查看答案和解析>>

科目:高中数学 来源:2015-2016学年甘肃省嘉峪关市高二上学期期中考试理科数学试卷(解析版) 题型:选择题

设a>0,b>0,若是3a与3b的等比中项,则的最小值是( )

A.8 B.4 C.1 D.

查看答案和解析>>

科目:高中数学 来源:2016届山东省高三第二次诊断性考试文科数学试卷(解析版) 题型:选择题

设集合,则等于

A. B.

C. D.

查看答案和解析>>

科目:高中数学 来源:2016届河南省原名校高三上学期第一次联考文科数学试卷(解析版) 题型:填空题

已知点,则向量方向上的投影为

查看答案和解析>>

科目:高中数学 来源:2015-2016学年浙江省宁波市高一上期中数学试卷(解析版) 题型:选择题

,则的大小关系是( )

A. B.

C. D.

查看答案和解析>>

科目:高中数学 来源:2015-2016学年湖北省高二上期中文科数学试卷(解析版) 题型:填空题

在平面直角坐标系xOy中,点M到点F(1,0)的距离比它到y轴的距离多1.记点M的轨迹为C,则曲线C与交点的坐标是 ;若点为曲线C上动点, 又点,那么的最小值为

查看答案和解析>>

科目:高中数学 来源:2015-2016学年陕西省高二上学期期中考试数学试卷(解析版) 题型:填空题

在△ABC中,B=135°,C=15°,a=5,则此三角形的最大边长为

查看答案和解析>>

科目:高中数学 来源:2015-2016学年广东省英德市高二上学期第一次月考理科数学试卷(解析版) 题型:选择题

已知的最小值为( )

A.1 B.2 C.4 D.8

查看答案和解析>>

同步练习册答案