精英家教网 > 高中数学 > 题目详情

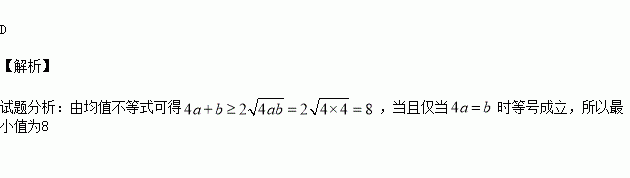
已知的最小值为( )

A.1 B.2 C.4 D.8

练习册系列答案
相关习题

科目:高中数学 来源:2016届河南省原名校高三上学期第一次联考理科数学试卷(解析版) 题型:解答题

(本小题满分12分)已知二次函数的图象经过坐标原点,其导函数为.数列的前项和为,点均在函数的图象上.

(1)求数列的通项公式;

(2)设是数列的前项和,求使得对所有都成立的最小正整数

查看答案和解析>>

科目:高中数学 来源:2015-2016学年江苏省泰兴市高二上学期期中考试数学试卷(解析版) 题型:填空题

是椭圆的右焦点,的一个动点到的最大距离为,若的右准线上存在点,使得,则椭圆的离心率的取值范围是

查看答案和解析>>

科目:高中数学 来源:2015-2016学年辽宁省大连市高一上学期期中考试数学试卷(解析版) 题型:选择题

已知函数 (其中)的图象如右图所示,则函数的图象是( )

查看答案和解析>>

科目:高中数学 来源:2015-2016学年河南省英文学校高一上学期期中考试数学试卷(解析版) 题型:选择题

计算结果是( )

A.-1[来 B. C.1 D.2

查看答案和解析>>

科目:高中数学 来源:2015-2016学年广东省普宁市高一上学期期中考试数学试卷(解析版) 题型:选择题

过点且与直线垂直的直线方程为( )

A. B. C. D.

查看答案和解析>>

科目:高中数学 来源:2014-2015学年浙江省等三校高二上学期期中考试数学试卷(解析版) 题型:解答题

已知函数

(1)若对于任意的,都有成立,求实数的取值范围;

(2)如果关于x的不等式f(x)?m有解,求实数m的取值范围.

查看答案和解析>>

科目:高中数学 来源:2015-2016学年浙江省平湖市高一10月月考数学试卷(解析版) 题型:选择题

如图,函数的图象为折线ABC,设则函数的图象为( )

查看答案和解析>>

科目:高中数学 来源:2015-2016学年广东省普宁市高一上学期期中考试数学试卷(解析版) 题型:解答题

(本小题14分)已知函数

(1)求证:无论为何实数总是增函数;

(2)确定的值,使为奇函数;

(3)当为奇函数时,求的值域.

查看答案和解析>>

同步练习册答案