精英家教网 > 高中数学 > 题目详情

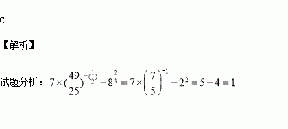
计算结果是( )

A.-1[来 B. C.1 D.2

练习册系列答案
相关习题

科目:高中数学 来源:2016届河南省原名校高三上学期第一次联考文科数学试卷(解析版) 题型:填空题

已知点,则向量方向上的投影为

查看答案和解析>>

科目:高中数学 来源:2015-2016学年辽宁省大连市高二10月月考数学试卷(解析版) 题型:选择题

为了调查某厂2 000名工人生产某种产品的能力,随机抽查了20位工人某天生产该产品的数量,产品数量的分组区间为[10,15),[15,20),[20,25),[25,30),[30, 35],频率分布直方图如图所示.工厂规定从生产低于20件产品的工人中随机地选取2位工人进行培训,则这2位工人不在同一组的概率是( )

A. B. C. D.

查看答案和解析>>

科目:高中数学 来源:2015-2016学年湖北省高二上学期期中理科数学试卷(解析版) 题型:选择题

从圆外一点向这个圆作两条切线,则两切线夹角的余弦值为( )

A. B. C. D.0

查看答案和解析>>

科目:高中数学 来源:2015-2016学年河南省英文学校高一上学期期中考试数学试卷(解析版) 题型:解答题

(本小题满分12分)已知偶函数,对任意,恒有

求:(1)的值;

(2)的表达式;

(3)上的最值.

查看答案和解析>>

科目:高中数学 来源:2015-2016学年广东省英德市高二上学期第一次月考理科数学试卷(解析版) 题型:选择题

已知的最小值为( )

A.1 B.2 C.4 D.8

查看答案和解析>>

科目:高中数学 来源:2015-2016学年甘肃省定西市高一上学期第一次月考数学试卷(解析版) 题型:填空题

函数,恒成立,则实数的取值范围是

查看答案和解析>>

科目:高中数学 来源:2016届浙江省高三10月月考文科数学试卷(解析版) 题型:填空题

过原点且倾斜角为的直线与圆相交,则圆的半径为___________直线被圆截得的弦长为______________

查看答案和解析>>

科目:高中数学 来源:2015-2016学年河北省高一上学期第一次月考数学试卷(解析版) 题型:解答题

(12分)已知函数

(1)求,f(-1)的值;

(2)画出这个函数的图象;

(3)求f(x)的最大值.

查看答案和解析>>

同步练习册答案