精英家教网 > 高中数学 > 题目详情

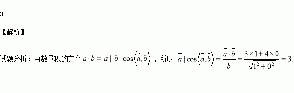
向量在向量方向上的投影为____ __.

练习册系列答案
相关习题

科目:高中数学 来源:2016届湖南省六校高三12月联考理科数学卷(解析版) 题型:解答题

选修4-5:不等式选讲

设函数

(1)当时,求使取值范围;

(2)若恒成立,求的取值范围.

查看答案和解析>>

科目:高中数学 来源:2015-2016学年浙江省高一4-6班上期中数学卷(解析版) 题型:填空题

已知函数有且仅有一个正实数的零点,则实数的取值范围是

查看答案和解析>>

科目:高中数学 来源:2015-2016学年四川树德、雅安中学高一10月考试数学卷(解析版) 题型:选择题

是定义在上的奇函数,当时,,则上的表达式为( )

A. B. C. D.

查看答案和解析>>

科目:高中数学 来源:2015-2016学年上海师大附中高一上期中数学试卷(解析版) 题型:填空题

集合的真子集的个数是

查看答案和解析>>

科目:高中数学 来源:2015-2016学年黑龙江齐齐哈尔实验中学高一上期中数学卷(解析版) 题型:选择题

,则函数的图象一定不经过( )

A.第一象限 B.第二象限 C.第三象限 D.第四象限

查看答案和解析>>

科目:高中数学 来源:2015-2016学年辽宁沈阳二中高二12月月考文科数学卷(解析版) 题型:解答题

设各项均为正数的数列的前项和为,满足构成等比数列.

(1)证明:

(2)求数列的通项公式.

查看答案和解析>>

科目:高中数学 来源:2015-2016学年贵州省贵阳市高一上期中数学试卷(解析版) 题型:填空题

已知幂函数的图像过点,则

查看答案和解析>>

科目:高中数学 来源:2015-2016学年浙江省高二上期中数学试卷(解析版) 题型:选择题

,当时,等于( )

A.5 B.6 C.7 D.8

查看答案和解析>>

同步练习册答案